Vectoren, vraagstuk 44
Bepaal de oppervlakte van de driehoek met als hoekpunten:

De driehoek en de vectoren
a,
b en
c
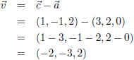
We moeten twee vectoren bepalen die deze driehoek insluiten:
Vervolgens nemen we het
uitwendig product
van deze twee vectoren.
De resulterende vector representeert de oppervlakte van het parallellogram dat door deze vectoren opgespannen wordt:
Echter, de vectoren
u en
v spannen een parallellogram op terwijl we de oppervlakte van een
driehoek willen weten.
We dienen het antwoord daarom nog door 2 te delen.
De oppervlakte van de driehoek is 3/2 = 1.5.