Covariante - en contravariante componenten van een vector
Hoe bepaal je de covariante - en contravariante componenten van een
vector?
Voor het gemak ga ik uit van een tweedimensionale ruimte.
Ik heb een x-as en een y-as en een
vector
v met
norm r.
De hoek die de beide assen met elkaar maken is α en de hoek die de
vector maakt met één der assen, ik heb
gekozen voor de x-as, is β.
Om de covariante componenten van deze
vector
te bepalen construeer ik twee loodlijnen richting de beide assen.
De covariante componenten zijn dan:
Met behulp van de
som-/verschilformules
uit de
goniometrie wordt vergelijking (2):
Om de contravariante componenten te bepalen construeer ik twee lijnen evenwijdig aan de beide assen.
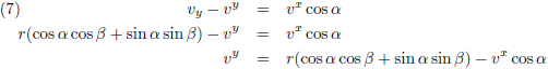
Voor het verschil van de beide x-componenten kan ik schrijven:
En voor het verschil van de beide y-componenten kan ik schrijven:
Vergelijking (1) vul ik in in vergelijking (4) en (3) in (5):
Tenslotte vul ik vergelijking (7) in in vergelijking (6) en vice versa:
Aldus komen we tot het volgende overzicht:
 |
x-component |
y-component |
| Covariant |
 |
 |
| Contravariant |
 |
 |
Merk op dat indien de assen loodrecht op elkaar staan (α = π/2) dat het verschil tussen covariant
en contravariant dan verdwijnt:
En merk ook op dat indien α = 0 of α = π dat dan de
basisvectoren niet meer onafhankelijk zijn
(de assen liggen in elkaars verlengde) en de boel perfect in het honderd loopt
(de
cotangens en de
cosecans worden oneindig).
Merk tenslotte ook nog op dat voor een x-
basisvector
(β = 0, r = 1) de covariante x-component en de contravariante
x-component gelijk zijn, namelijk x
v = x
v = 1.
En omgekeerd geldt ook dat voor een y-
basisvector
(β = α, r = 1) de covariante y-component en de contravariante
y-component gelijk zijn, namelijk y
v = y
v = 1.
Dit klinkt allemaal niet zo ingewikkeld, maar er zit wel een adder onder het gras.
Het is namelijk niet alleen maar een kwestie van wat lijntjes trekken richting de beide assen, nog wat
elementaire
goniometrie toepassen en klaar is Kees.
Wat is er (ook) aan de hand?
Met de projecties op de assen, de grijze lijntjes die ik trok, bepaal ik de covariante - en contravariante
componenten van een
vector.
Echter, om appels en peren uit elkaar te houden is het wel van groot belang om in de gaten te houden welke
eenheden je gebruikt.
Oftewel, hoe zien mijn
basisvectoren eruit?
Stel, ik heb de volgende situatie.
Ik heb twee assen die loodrecht op elkaar staan, ik heb twee
basisvectoren die even groot zijn en ook nog
eenheidsvectoren zijn.
Kortom, dit stelsel is zo Cartesisch als het maar zijn kan.
Er is geen verschil tussen covariant en contravariant.
Ik heb een
vector v erbij ingetekend
en twee lijntjes richting de assen, en vervolgens lees ik heel gemakkelijk de componenten van
v af:
(0.5, 0.5).
Zoals gezegd is er geen verschil tussen covariant en contravariant.
Maar nu komt het, ik maak de x-
basisvector
tweemaal zo lang (de y-
basisvector
blijft ongewijzigd).
Ik ga dit wiskundig maken en ik stel een covariante
transformatiematrix op
(met de nadruk op covariant):
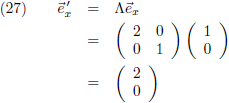
Wanneer ik dit loslaat op de groene covariante
x-
basisvector krijg ik de rode covariante
x-
basisvector:
En wanneer ik dit loslaat op de groene covariante
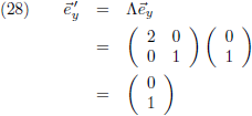
y-
basisvector krijg ik de rode covariante
y-
basisvector:
Om de rode contravariante
basisvectoren
te vinden heb ik een contravariante
transformatiematrix nodig,
dat is de
getransponeerde én inverse
matrix van de covariante
transformatiematrix (voor de
afleiding waarom dit zo is zie
deze pagina):
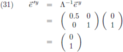
Wanneer ik dit loslaat op de groene contravariante
x-
basisvector krijg ik de rode contravariante
x-
basisvector:
En wanneer ik dit loslaat op de groene contravariante
y-
basisvector krijg ik de rode contravariante
y-
basisvector:
Dit teken ik allemaal erbij in in het plaatje.
De rode x-
basisvectoren zijn niet meer gelijk,
in tegenstelling tot de groene x-
basisvectoren.
En dit heeft uiteraard zijn weerslag op de componenten van de
vector v.
De covariante componenten van
v zijn (1, 0.5) en de contravariante componenten van
v zijn (0.25, 0.5).
De covariante componenten van
v meet je af in contravariante
basisvectoren en de contravariante componenten
van
v meet je af in covariante
basisvectoren.
Dit is uiteraard ook wiskundig te maken, want wanneer ik de covariante
transformatiematrix loslaat op de
vector v dan krijg ik de covariante componenten:
En wanneer ik de contravariante
transformatiematrix loslaat op de
vector v dan krijg ik de contravariante componenten:
De moraal van dit verhaal: het is niet alleen een kwestie van projecties op de assen, maar het is ook een kwestie
van de componenten afmeten in de juiste eenheden (lees: de juiste
basisvectoren).