De energie die een zwart voorwerp uitstraalt
Hoeveel energie wordt er door een perfect zwart voorwerp uitgestraald bij een bepaalde temperatuur en
bij welke golflengte ligt de piek van deze uitgestraalde energie?
In de natuurkunde is een zwart voorwerp doorgaans geïdealiseerd als een voorwerp dat perfect straling absorbeert (opneemt)
en eveneens perfect straling emitteert (uitzendt), straling reflecteren is niet aan de orde.
De benamingen hiervoor zijn zwart lichaam [Engels: black body] of zwarte straler.
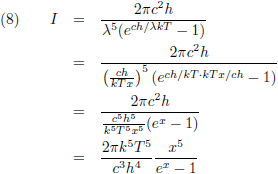
Mijn uitgangspunt om aan een zwart voorwerp te rekenen is uiteraard de stralingswet van Planck, want die geeft de
intensiteit van de uitgestraalde energie als functie van de golflengte en de temperatuur per vierkante meter oppervlak:
Dit ga ik in een grafiek uitzetten:

De grafiek van I (λ) voor T = 800 K (de rode lijn),
T = 900 K (de groene lijn) en T = 1000 K (de blauwe lijn)
Of met het hetzelfde bereik op de horizontale as, maar dan met een
logaritmische schaalverdeling:

De grafiek van I (λ) voor T = 800 K (de rode lijn),
T = 900 K (de groene lijn) en T = 1000 K (de blauwe lijn)
Het gebruik van een
logaritmische
schaalverdeling is met name wel illustratief wanneer ik de golflengte laat variëren over een groot bereik.
In de bovenstaande twee grafieken varieerde de golflengte een factor vijftig, en in de onderstaande twee
grafieken varieert de golflengte een factor 10
10 (eerst met een lineaire schaalverdeling en
daarna met een
logaritmische schaalverdeling)
hetgeen duidelijk maakt dat de intensiteit bij een bepaalde golflengte piekt:

De grafiek van I (λ) voor T = 800 K (de rode lijn),
T = 900 K (de groene lijn) en T = 1000 K (de blauwe lijn),
lineaire horizontale schaalverdeling

De grafiek van I (λ) voor T = 800 K (de rode lijn),
T = 900 K (de groene lijn) en T = 1000 K (de blauwe lijn),
logaritmische horizontale schaalverdeling
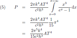
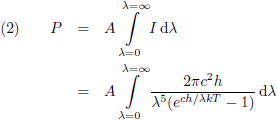
Om de totale uitgestraalde energie te berekenen moet ik sommeren over alle golflengtes, dus ik moet de
functie volgens vergelijking (1) gaan
integreren.
Echter, dan bereken ik de uitgestraalde energie per seconde, dus ik bereken niet de uitgestraalde energie
maar het uitgestraalde vermogen.
En ik moet natuurlijk ook nog vermenigvuldigen met de grootte van het oppervlak A:
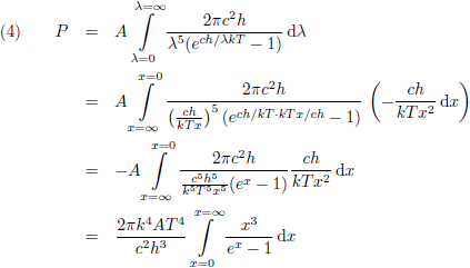
Ik stel:
Daarmee wordt de
integraal:
Deze
integraal zoek ik op in de
tabel met integralen en zo kom ik tot dit resultaat:
Al die constanten pak ik samen en dat staat nu in de geschiedenisboeken als de
constante van Štefan-Boltzmann:
Zodat ik het resultaat heel compact kan opschrijven als volgt, de
wet van Štefan-Boltzmann:
Dat is toch wel opmerkelijk, de enige variabele hierin is de temperatuur (en de grootte van het oppervlak uiteraard)!
En wat ook het vermelden waard is, is dat de wet van Štefan-Boltzmann er
eerder was dan de stralingswet
van Planck.
De constante van Štefan-Boltzmann bestond al geruime tijd voordat Planck er een theoretisch fundament aan gaf.

De energie die deze kop koffie uitstraalt is alleen afhankelijk van de temperatuur,
het maakt niet uit of de koffie lekker is, het maakt zelfs niet uit óf het koffie is
Zoals de voorgaande grafieken lieten zien treedt er ergens een
maximum op.
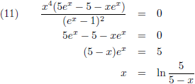
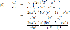
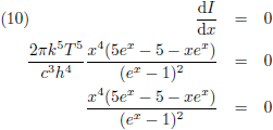
Om te vinden waar dat
maximum zich bevindt
ga ik vergelijking (1)
differentiëren, maar eerst ga ik
die verbouwen met behulp van vergelijking (3a):
Nu ga ik
differentiëren:
Om het
maximum te vinden ga ik de
afgeleide nul stellen:
Bij x = 0 en x = ∞ liggen de
minima, daar ben ik niet in geïnteresseerd
en die kan ik dus uitdelen/negeren:
Waarna Excel mij even verder helpt: x = 4.9651142317.
Dit resultaat noem ik x
p en die stop ik in vergelijking (3a):
De golflengte waarbij de maximale intensiteit optreedt is omgekeerd evenredig met de temperatuur hetgeen
al enigszins te zien was aan de voorgaande grafieken.

De grafiek van λ
p (T)

Deze kolen stralen rood licht, wanneer ze afkoelen (lagere temperatuur) stralen ze
infrarood (langere golflengte) die niet meer zichtbaar is voor onze ogen
maar wel voelbaar op onze huid
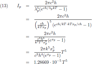
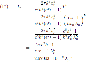
Het is natuurlijk ook wel interessant om te weten welke intensiteit hierbij hoort.
Daarom ga ik deze λ
p invullen in de formule van Planck:
In plaats van golflengte als functie van de temperatuur kan ik vergelijking (12) natuurlijk ook opschrijven in
de vorm van temperatuur als functie van de golflengte:
Omdat geldt:
Hiermee kan ik vergelijking (14) ook schrijven als volgt:
Deze vergelijking staat nu in de boeken als de
verschuivingswet van Wien.
Tot slot vul ik vergelijking (14) in in vergelijking (13):
Dit voeg ik toe aan de eerste twee grafieken van deze pagina:

De grafiek van I (λ) voor T = 800 K (de rode lijn), T = 900 K (de groene lijn),
T = 1000 K (de blauwe lijn) en I
p (λ
p) (de paarse lijn),
lineaire horizontale schaalverdeling

De grafiek van I (λ) voor T = 800 K (de rode lijn), T = 900 K (de groene lijn),
T = 1000 K (de blauwe lijn) en I
p (λ
p) (de paarse lijn),
logaritmische horizontale schaalverdeling
Het is natuurlijk ook nog wel leuk om de bovenstaande grafiek uit te breiden voor alle kleuren van de regenboog.
Onderstaande tabel geeft de kleuren van de regenboog met de bijbehorende golflengtes en temperaturen (met de belangrijke
kanttekening dat er geen universele overeenstemming is hieromtrent, zelfs op Wikipedia is onderstaande tabel verschillend
in verschillende talen).
Kleur (regenboog) | Piekgolflengte λp [nm] | Piektemperatuur Tp [K] |
| Rood | 685 | 4230 |
| Oranje | 605 | 4790 |
| Geel | 580 | 5000 |
| Groen | 530 | 5470 |
| Blauw | 485 | 5980 |
| Indigo | 460 | 6300 |
| Violet | 415 | 6980 |
En dat leidt dan tot de grafiek hieronder.

De grafiek van I (λ) voor de kleuren van de regenboog,
logaritmische horizontale schaalverdeling
Of in 3D (gemaakt met Python, die de kleuren duidelijk weer iets anders koppelt aan temperaturen).

De grafiek van I (λ) voor de kleuren van de regenboog,
lineaire horizontale schaalverdeling
Samengevat:
De intensiteit van de uitgestraalde energie per vierkante meter oppervlak, de wet van Planck:
Het totale uitgestraalde vermogen, de wet van Štefan-Boltzmann:
De golflengte waarbij de maximale intensiteit optreedt als functie van de temperatuur:
De maximale intensiteit als functie van de temperatuur:
De verschuivingswet van Wien:
De maximale intensiteit als functie van de golflengte waarbij die maximale intensiteit optreedt: