De Taylor-reeks van
f (x) = (1 − x2)1/2
Trefwoorden/keywords: Taylor-reeks/Taylor series, f (x) = (1 − x2)1/2

De grafiek van f (x) = (1 − x
2)
1/2
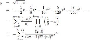
De reeks van (1 − x)
1/2 kun je elders vinden in de
tabel met Taylor-reeksen:
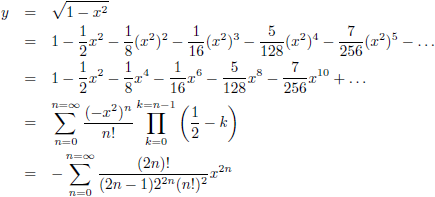
Vervolgens vervang ik simpelweg x door x
2:
Het is wel even opletten bij de eerste term, want de productreeks wordt daar niet doorlopen en dat levert één op:
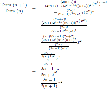
Om te voorkomen dat je tegen de grenzen van je rekenprogramma aanloopt is het wel handig om niet
iedere term opnieuw te berekenen, maar ten opzichte van de voorgaande term:
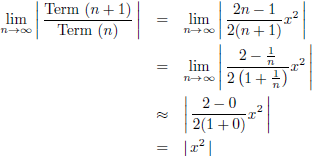
Het is belangrijk om te kijken naar de
convergentie
van deze reeks, want indien de reeks divergeert dan hebben we er niets aan.
De belangrijkste voorwaarde voor
convergentie
is indien de termen uitdoven als het ware, dus als een term voor grote waarden van n kleiner is dan de
voorgaande term (in
absolute waarden
gesproken uiteraard):
Voor deze reeks ziet dat er als volgt uit:
Dit moet kleiner dan één zijn, oftewel | x | < 1.
Merk op dat voor | x | > 1 de functie niet bestaat, dus dit gaat wat
convergentie betreft altijd goed.
Het is wel zo dat naarmate x naar één nadert er steeds meer termen meegenomen moeten worden, een punt van aandacht.

De grafiek van f (x) met daaroverheen de Taylor-reeks met 10 termen (de oranje lijn),
20 termen (de paarse lijn), 50 termen (de grijze lijn) en 100 termen (de blauwe lijn)