De integraal van
f (x) = (1 − cos (ax))1/2
Trefwoorden/keywords: integraal/integral, integreren/integrate, f (x) = (1 − cos (ax))1/2

De grafiek van f (x) = (1 − cos (ax))1/2 voor a = 1 (de rode lijn),
a = 2 (de groene lijn) en a = 3 (de blauwe lijn)
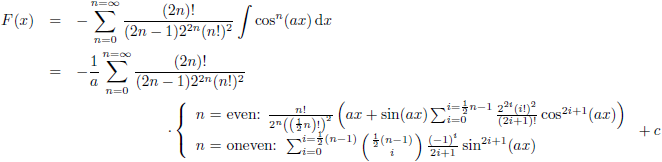
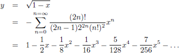
Deze functie is in deze vorm niet te integreren en daarom wenden we ons tot reeksontwikkeling. In de tabel met Taylor-reeksen vinden we:

De grafiek van F (x) voor a = 1, c = 0, 3 termen meegenomen (de rode lijn),
5 termen meegenomen (de oranje lijn), 11 termen meegenomen (de groene lijn),
21 termen meegenomen (de paarse lijn) en 31 termen meegenomen (de blauwe lijn)

De grafiek van F (x) voor a = 2, c = 0, 3 termen meegenomen (de rode lijn),
5 termen meegenomen (de oranje lijn), 11 termen meegenomen (de groene lijn),
21 termen meegenomen (de paarse lijn) en 31 termen meegenomen (de blauwe lijn)

De grafiek van F (x) voor a = 3, c = 0, 3 termen meegenomen (de rode lijn),
5 termen meegenomen (de oranje lijn), 11 termen meegenomen (de groene lijn),
21 termen meegenomen (de paarse lijn) en 31 termen meegenomen (de blauwe lijn)

De grafiek van F (x) voor a = 1 (de rode lijn),
a = 2 (de groene lijn) en a = 3 (de blauwe lijn), c = 0,
51 termen meegenomen

Naar de volgende integraal: de integraal van
Naar de vorige integraal: de integraal van
Tabel met integralen
Tabel met afgeleiden
Tabel met Taylor-reeksen
Differentiëren
Integreren
De integraal van
De integraal van
De integraal van
De integraal van
De integraal van
De integralen van
De integralen van
Vectoren
Vectoren, vraagstuk 38
Vectoren, vraagstuk 83
De Taylor-reeks van
De Taylor-reeksen van
De stelling van Green
Holomorfie van de functie
Holomorfie van de functie
Uitleg artikel algemene relativiteitstheorie: paragraaf 3
De integraal van
De Witte Dag
De cycloïde
De minimale straal van een holle bol
Een planeettijdreismachine
De integralen van
Gravitationele rood-/blauwverschuiving
Getijdenkrachten
Zijn wij vroeg of laat?
Overzichtspagina wiskunde
Overzichtspagina natuurkunde
Overzichtspagina filosofie
Doneer enkele euro’s
Wetenschappelijke boeken te koop
Lezingen