Combinaties en manipulaties met nabla

Om te beginnen wil ik eerst nog even een paar dingen in herinnering brengen aangaande het inwendig product en het uitwendig product. De eerste genereert een scalar (een getal) en de tweede een vector:

Bij de eerste is de volgorde van de vectoren waarop de bewerking plaatsvindt niet van belang, bij de tweede wel (het scheelt een minteken):

Haakjes wegwerken gaat heel elementair (en simpel):

Dat was de inleiding, dan kunnen we nu echt aan de slag. We kennen nabla als volgt:
Nabla heeft een vectoraanduiding, omdat het een vectoroperator is. Omdat het een operator is betekent dat wel dat nabla op zichzelf niet echt iets is, er moet wel iets achter staan waar nabla op in kan werken (waar de operatie op uitgevoerd kan worden). Nabla is een drietal partiële eerste afgeleiden naar x, y en z, maar dat kunnen ook tweede afgeleiden zijn. Let in dat geval altijd goed op het volgende subtiele (en belangrijke) verschil:

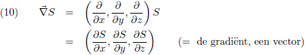
In de hierna volgende uitwerkingen staat S voor een scalar(veld) en V voor een vector(veld). Om te beginnen zetten we nabla gewoon maar eens tegen beide aan:

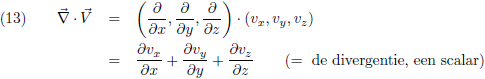
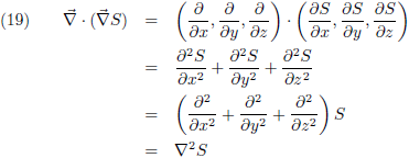
En zo hebben we alvast de gradiënt te pakken. Nu ga ik nabla inzetten in het inwendig product met beide:

En dat levert de divergentie op. Het woord “divergeren” betekent “uiteenlopen” (het tegenovergestelde van divergeren is convergeren = samenkomen). De divergentie van een vectorveld laat zien hoe de vectoren van dat vectorveld uiteenlopen. En dit uit zich via een getal (want het is een inwendig product), dus de divergentie van een vectorveld is een scalarveld. Indien de divergentie nul is dan lopen de vectoren van het vectorveld keurig parallel, is de divergentie positief dan lopen de vectoren uiteen, en is de divergentie negatief dan lopen de vectoren naar elkaar toe (een negatieve divergentie uit zich dus als convergentie).

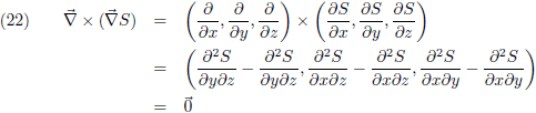
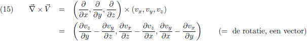
Je voelt het vast al aankomen, de volgende exercitie is om nabla in te zetten in het uitwendig product:

Zo komen we tot de rotatie. De rotatie van een vectorveld laat zien hoe de vectoren van dat vectorveld draaien in de ruimte. Je kunt dit het beste visualiseren als een soort draaikolk of wervelwind. En omdat dat draaien een richting heeft uit zich dit via een vector (want het is een uitwendig product), dus de rotatie van een vectorveld is een vectorveld. Een wervelwind loopt altijd spits toe naar onder en heeft dus zowel divergentie als rotatie. Stel dat een wervelwind perfect verticale ‘wanden’ zou hebben dan heeft die wervelwind wel rotatie maar de divergentie is dan nul.

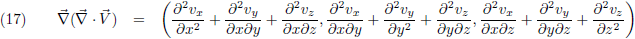
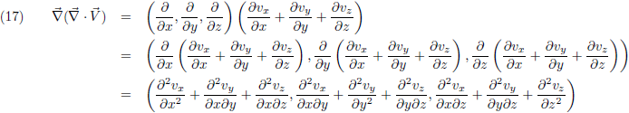
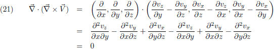
Het is interessant om nog een stap verder te gaan en nabla rechtstreeks in te laten werken op alle zinnige voorgaande resultaten:


Vervolgens doe ik dat ook nog een keer met behulp van het inwendig product:


En tenslotte met het uitwendig product:


Ik zet alle zinnige resultaten even bij elkaar:







Geloof me, het is handig om dit lijstje (of deze pagina) bij de hand te hebben.