Afbuiging van een lichtstraal, 1e orde benadering
Bereken, uitgaande van de differentiaalvergelijking van de
geodetische lijn van een lichtstraal rondom een puntmassa,
de afbuiging van die lichtstraal (in een
eerste orde benadering).
Dit is de differentiaalvergelijking van de
geodetische lijn van een lichtstraal rondom een puntmassa
(voor de afleiding zie
deze pagina):
Hierin is u de reciproke van de radiële afstand r:
En Rs is de Schwarzschild-straal,
de horizon van een
zwart gat:
Het slechte nieuws is: er is geen exacte oplossing bekend van deze differentiaalvergelijking.
Het goede nieuws is: in de wiskunde zijn we niet voor één gat te vangen.
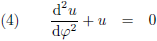
Wanneer ik in vergelijking (1) de term aan de rechterkant weglaat dan blijft dit over:
Vergelijking (4) is het newtoniaanse equivalent en de term aan de rechterkant is dus een relativistische
correctie.
Relativistische correcties zijn doorgaans (heel) klein en worden pas significant in extreme situaties
zoals bij neutronensterren en zwarte gaten.
We zien het ook aan de aanwezigheid van Rs in die term, want Rs is in ‘gewone’
gevallen heel klein zoals uit onderstaande tabel blijkt (R is de straal van het betreffende hemellichaam,
voor de gegevens van de hemellichamen zie de
tabel met fysische gegevens).
| Gerangschikt naar oplopende waarden van Rs/R |
| Hemellichaam: | Rs/R: |
 Baksteen | ≈ 0.00000000000000000000000003 = 3 ∙ 10−26 |
 Rotsblok van 100 kg, (diameter = 1 meter) | ≈ 0.0000000000000000000000003 = 3 ∙ 10−25 |
 Pluto | 0.0000000000163 = 1.63 ∙ 10−11 |
 Maan | 0.0000000000628 = 6.28 ∙ 10−11 |
 Mercurius | 0.000000000201 = 2.01 ∙ 10−10 |
 Mars | 0.000000000281 = 2.81 ∙ 10−10 |
 Venus | 0.00000000119 = 1.19 ∙ 10−9 |
 Aarde | 0.00000000139 = 1.39 ∙ 10−9 |
 Uranus | 0.00000000504 = 5.04 ∙ 10−9 |
 Neptunus | 0.00000000614 = 6.14 ∙ 10−9 |
 Saturnus | 0.0000000140 = 1.40 ∙ 10−8 |
 Jupiter | 0.0000000394 = 3.94 ∙ 10−8 |
 Canis Majoris | ≈ 0.00000005 = 5 ∙ 10−8 |
 Betelgeuse | ≈ 0.0000001 = 1 ∙ 10−7 |
 Aldebaran | ≈ 0.0000001 = 1 ∙ 10−7 |
 Zon | 0.00000425 = 4.25 ∙ 10−6 |
 Andromeda | ≈ 0.000006 = 6 ∙ 10−6 |
 Witte dwerg | ≈ 0.0005 = 5 ∙ 10−4 |
 Neutronenster | ≈ 0.5 = 5 ∙ 10−1 |
 Zwart gat | 1 = 1 ∙ 100 |
| (Credits voor de foto’s van de hemellichamen: NASA) |
De oplossing van vergelijking (4) is simpel en overbekend, dat is de
sinus, of de
cosinus, of een combinatie
van beide, dat is een kwestie van je assenstelsel roteren, maar dat maakt hier niet uit want we
hebben bolsymmetrie.
De lichtstraal komt ergens van ‘ver weg’ en de loodrechte afstand van dit begintraject tot een as precies door
het middelpunt van het hemellichaam is de
impactparameter (of in beter Nederlands:
inslagparameter) b.

b is de
impactparameter,
voor grote waarden van b gebeurt er niets,
voor b = 0 heb je een frontale botsing
Aldus kan ik als newtoniaanse oplossing of niet-relativistische oplossing of nulde orde oplossing
(net hoe je het noemen wilt) schrijven:
Merk op dat dit de vergelijking is van een rechte lijn, want in poolcoördinaten geldt:
De
sinus kan ik schrijven als
functie van de tangens:
Met al deze ingrediënten wordt vergelijking (5):
Hetgeen een perfecte horizontale rechte lijn is.

De grafiek van y = b voor b = 1 (de rode lijn),
b = 2 (de groene lijn) en b = 3 (de blauwe lijn)
Omdat de term aan de rechterkant van vergelijking (1) klein is zal het exacte antwoord maar een klein
beetje afwijken van vergelijking (5) en dus is het een goed idee om vergelijking (5) als startpunt
te nemen en vervolgens naar een nauwkeuriger antwoord toe te werken.
Daarom ga ik eerst een
sinus invullen
aan de rechterkant in vergelijking (1):
Vervolgens ga ik wat proberen, zoals meestal met differentiaalvergelijkingen, met een antwoord dat in
de buurt ligt van vergelijking (5) door nog wat termen toe te voegen (met A, B en C als nog te
bepalen parameters):
De
afgeleide hiervan is:
En de
tweede afgeleide is:
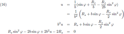
De vergelijkingen (10) en (12) vul ik in in vergelijking (9):
Hieruit volgt door termen met gelijke
exponenten te vergelijken:
De waarde van B maakt uiteraard niets uit, want dat is de term die er per definitie uitvalt (de rechte lijn).
Door de gevonden waarden van A en C in te vullen (voor B vul ik simpelweg nul in) in vergelijking (10)
heb ik een nauwkeuriger antwoord gevonden (nauwkeuriger dan alleen maar de
sinus van vergelijking (5)).
Het eindresultaat is dus de combinatie van de vergelijkingen (5) en (10):
Dit ga ik wat reorganiseren:
Met behulp van de
abc-formule
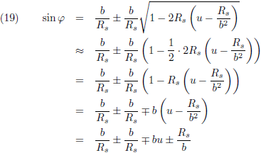
vind ik een oplossing voor sin φ:
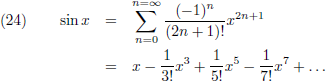
Ik ga de wortel ontwikkelen in een reeks.
In de tabel met Taylor-reeksen vinden we:
Dit vul ik in in vergelijking (17), waarbij ik alleen de eerste twee termen meeneem (want ik zoek een
eerste orde benadering):
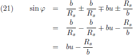
Moet ik nu het plusteken gebruiken of het minteken?
Ik keer daarvoor terug naar vergelijking (16) en ik laat de
kwadratische term even weg:
Door de vergelijkingen (19) en (20) te vergelijken is het duidelijk dat ik het minteken moet gebruiken.
Vergelijking (19) wordt dus:
Hiervan neem ik de limiet voor r gaat naar oneindig:
Zoals vergelijking (6a) al aangaf is φ de
boogtangens van y/x:
En vergelijking (7) liet zien dat ik de
sinus kan schrijven als
functie van de tangens:
Hiermee wordt vergelijking (22):
R
s en r zijn beide per definitie positief, en b kies ik positief, dus aan beide ‘uiteinden’
(waar r naar oneindig gaat) is y negatief (logisch, want de lichtstraal buigt af richting de massa in
de oorsprong).
Of anders gezegd: sin φ is negatief en daarmee ook de hoek φ, want waar r naar oneindig
gaat zit φ in de buurt van nul respectievelijk π.
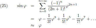
Ik ga de
sinus ook ontwikkelen in een reeks.
In de
tabel met Taylor-reeksen vinden we:
In een eerste orde benadering is sin φ dus gelijk aan φ:
De afbuiging van de lichtstraal is dus tweemaal het resultaat van vergelijking (22):
Of iets anders opgeschreven (en het teken interesseert me nu even niet):