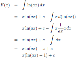
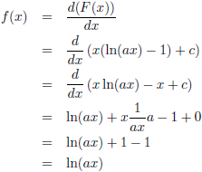
De integraal van
f (x) = ln (ax)
Trefwoorden/keywords: integraal/integral, integreren/integrate, f (x) = ln (ax)

De grafiek van f (x) = ln (ax) voor a = 1 (de rode lijn),
a = 2 (de groene lijn) en a = 3 (de blauwe lijn)

De grafiek van F (x) voor a = 1 (de rode lijn),
a = 2 (de groene lijn) en a = 3 (de blauwe lijn), c = 0
Naar de volgende integraal: de integraal van
Naar de vorige integraal: de integraal van
Tabel met integralen
Tabel met afgeleiden
Tabel met Taylor-reeksen
Differentiëren
Integreren
De integraal van
De integraal van
De integraal van
De integraal van
De integralen van
De integralen van
Vectoren, vraagstuk 8
Vectoren, vraagstuk 53
Bereken de covariante - en contravariante componenten
De Taylor-reeks van
Een reeks afsplitsen van
Bernoulli-getallen
Holomorfie van de functie
Relativiteitstheorie basic, hoofdstuk 3: het balletje
Uitleg artikel precessie van Mercurius
Het relativistische impulsmoment van een holle bol
Gravitationele rood-/blauwverschuiving
Getijdenkrachten
Zijn wij vroeg of laat?
De Einstein-Rosen-brug
De invaltijd van een baksteen die in een zwart gat valt
De buitenkant van een wormgat
De integraal van
De astroïde
Het waarneembare universum
Wat is een wormgat?
Overzichtspagina wiskunde
Overzichtspagina natuurkunde
Overzichtspagina filosofie
Doneer enkele euro’s
Wetenschappelijke boeken te koop
Lezingen