Vectoren, vraagstuk 69
Bereken
∙ F, met F in bolcoördinaten gegeven als:
∙ F, met F in bolcoördinaten gegeven als:
-
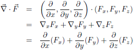
In Cartesische coördinaten ziet de divergentie
Het vectorveld F

Het vectorveld F (dwarsdoorsnede voor z = 0)
∙ F er zo uit:
Maar in bolcoördinaten zo:
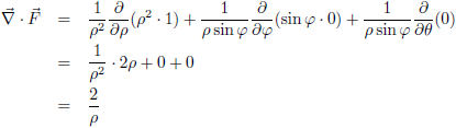
In dit geval wordt de divergentie dan:

De grafiek van
∙ F = 2/ρ
-
De vergelijking voor de divergentie in bolcoördinaten is:
Het vectorveld F

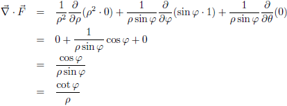
Het vectorveld F (dwarsdoorsnede voor z = 0)In dit geval wordt de divergentie dan:

De grafiek van
∙ F = cot φ/ρ
-
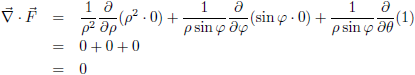
De vergelijking voor de divergentie in bolcoördinaten is:
Het vectorveld F

Het vectorveld F (dwarsdoorsnede voor y = 0)In dit geval wordt de divergentie dan:

De grafiek van
∙ F = 0
Door naar het volgende vraagstuk: vectoren, vraagstuk 70
Terug naar het vorige vraagstuk: vectoren, vraagstuk 68
Overzichtspagina met vraagstukken
Vraagstukken xref voor de UT
De integraal van
De integraal van
De integraal van
De integraal van
De integralen van
De integralen van
Vectoren, vraagstuk 7
Vectoren, vraagstuk 52
Invariantie van het inwendig product
Taylor-reeksen
De Taylor-reeks van
Een reeks afsplitsen van
Faculteiten
Holomorfie van de functie
Relativiteitstheorie basic, hoofdstuk 2: de lichtsnelheid
Fouten in het oorspronkelijke artikel over de algemene relativiteitstheorie
De relativistische rotatie-energie van een massieve bol
Een botsing met een zandkorrel
Een lichtjaar omrekenen naar parsecs en vice versa
Afleiding van de wet van Betz
Gravitationele rood-/blauwverschuiving
Getijdenkrachten
Zijn wij vroeg of laat?
De Einstein-Rosen-brug
De invaltijd van een baksteen die in een zwart gat valt
De buitenkant van een wormgat
De integraal van
De astroïde
Het waarneembare universum
Wat is een wormgat?
Overzichtspagina wiskunde
Overzichtspagina natuurkunde
Overzichtspagina filosofie
Doneer enkele euro’s
Wetenschappelijke boeken te koop
Lezingen