Holomorfie van de functie
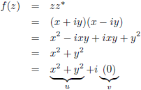
f (z) = z z*
Gegeven de functie:
Het
reële deel van de functie noem ik u en het
imaginaire deel v:

De grafiek van f (z)

De grafiek van |f (z)|
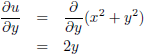
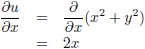
Vervolgens ga ik alle
partiële afgeleiden
bepalen:
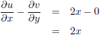
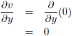
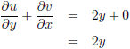
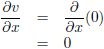
De Cauchy-Riemann-vergelijkingen
luiden:
Nu is het een kwestie van invullen:
Aan de
Cauchy-Riemann-vergelijkingen
wordt nooit voldaan, behalve voor x = 0 en y = 0, en de functie is daarom nergens
holomorf behalve in de oorsprong.