De Taylor-reeks van
f (x) = (1 − a2 cos2 x)1/2
Trefwoorden/keywords: Taylor-reeks/Taylor series, f (x) = (1 − a2 cos2 x)1/2

De grafiek van f (x) = (1 − a
2 cos
2 x)
1/2 voor a
2 = 0.1 (de rode lijn),
a
2 = 0.5 (de groene lijn) en a
2 = 0.9 (de blauwe lijn)
De formele route naar een Taylor-reeks is om te beginnen met de functie eerst een aantal malen te
differentiëren.
Dat leidt tot een stel
afgeleiden waar ik
vervolgens x = 0 in ga vullen en zo vind ik dan de polynoom-coëfficiënten van de Taylor-reeks.
Dit proces heb ik doorlopen voor de functie f (x) = (1 − a
2 sin
2 x)
1/2
(zie deze
Taylor-reeks) en dat is een kolossale bult werk
en levert uiteindelijk een reeks op die slecht
convergeert.
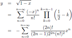
Er is gelukkig ook een hele andere aanpak mogelijk om deze functie in een reeks te ontwikkelen.
In de
tabel met Taylor-reeksen vinden we:
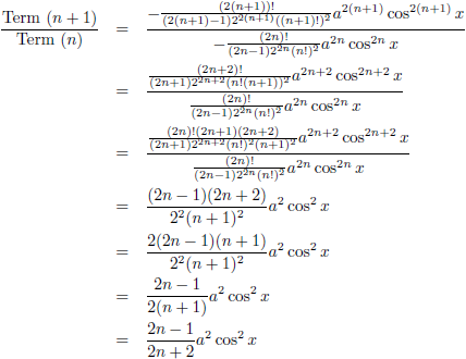
Vervolgens vervang ik simpelweg x door a
2 cos
2 x:
Om te voorkomen dat je tegen de grenzen van je rekenprogramma aanloopt is het wel handig om niet
iedere term opnieuw te berekenen, maar ten opzichte van de voorgaande term:
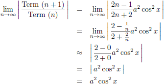
Het is belangrijk om te kijken naar de
convergentie
van deze reeks, want indien de reeks divergeert dan hebben we er niets aan.
De belangrijkste voorwaarde voor
convergentie
is indien de termen uitdoven als het ware, dus als een term voor grote waarden van n kleiner is dan de
voorgaande term (in
absolute waarden
gesproken uiteraard):
Voor deze reeks ziet dat er als volgt uit:
Dit moet kleiner dan één zijn, oftewel a
2 cos
2 x < 1.
De
cosinus strekt zich per definitie uit van −1 tot +1,
dus we moeten een beperking opleggen aan de waarde van a.
Sowieso zal a nimmer groter dan één zijn, want dan gaat het
worteltrekken de mist in.
Indien a = 1 dan krijgt de functie een hele andere vorm, dus die situatie zal ook niet voorkomen.
De convergentievoorwaarde dat | a | < 1 is daarom inherent aanwezig.
Het is wel zo dat naarmate a naar één nadert er steeds meer termen meegenomen moeten worden, een punt van aandacht.

De grafiek van f (x) met daaroverheen de Taylor-reeks voor a
2 = 0.1 (de oranje lijn),
a
2 = 0.5 (de paarse lijn) en a
2 = 0.9 (de grijze lijn),
10 termen meegenomen
Hierboven zie je de grafiek volgens de Taylor-reeks waarbij ik tien termen heb meegenomen.
Deze reeks werkt heel goed over het gehele bereik van x.
Om de reeks nauwkeurig te houden moeten er voor a nadert naar één meer termen meegenomen worden.
In de grafieken hieronder heb ik het aantal termen uitgebreid tot respectievelijk twintig, vijftig en honderd.

De grafiek van f (x) met daaroverheen de Taylor-reeks voor a
2 = 0.1 (de oranje lijn),
a
2 = 0.5 (de paarse lijn) en a
2 = 0.9 (de grijze lijn),
20 termen meegenomen

De grafiek van f (x) met daaroverheen de Taylor-reeks voor a
2 = 0.1 (de oranje lijn),
a
2 = 0.5 (de paarse lijn) en a
2 = 0.9 (de grijze lijn),
50 termen meegenomen

De grafiek van f (x) met daaroverheen de Taylor-reeks voor a
2 = 0.1 (de oranje lijn),
a
2 = 0.5 (de paarse lijn) en a
2 = 0.9 (de grijze lijn),
100 termen meegenomen