Bewerkingen met reeksen

Met reeksen kun je dezelfde wiskundige bewerkingen, zoals optellen en aftrekken, uitvoeren als met getallen, maar het pakt natuurlijk wat ingewikkelder uit omdat je te maken heb met heel veel termen, meestal oneindig veel. Maar goed, dat is voornamelijk een kwestie van je aandacht erbij houden en nauwkeurig werken en dan kun je ‘gewoon’ doorwerken. Ik ga de elementaire wiskundige bewerkingen met reeksen hieronder doornemen waarbij ik telkens uitga van twee reeksen A en B:

De resulterende reeks noem ik C:
  1. Optellen
  2. Aftrekken
  3. Vermenigvuldigen
  4. Delen
  5. Machtsverheffen
  6. Samenvatting

Optellen


  1. Optellen
  2. Aftrekken
  3. Vermenigvuldigen
  4. Delen
  5. Machtsverheffen
  6. Samenvatting
Het optellen van twee reeksen gaat als volgt:
Voor de coëfficiënten van de resulterende reeks C geldt dus:

Aftrekken


  1. Optellen
  2. Aftrekken
  3. Vermenigvuldigen
  4. Delen
  5. Machtsverheffen
  6. Samenvatting
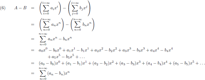
Het aftrekken van twee reeksen gaat als volgt:
Voor de coëfficiënten van de resulterende reeks C geldt dus:

Vermenigvuldigen


  1. Optellen
  2. Aftrekken
  3. Vermenigvuldigen
  4. Delen
  5. Machtsverheffen
  6. Samenvatting
Het vermenigvuldigen van twee reeksen gaat als volgt:
Hieruit kan ik aflezen:




Voor de coëfficiënten van de resulterende reeks C geldt dus:

Delen


  1. Optellen
  2. Aftrekken
  3. Vermenigvuldigen
  4. Delen
  5. Machtsverheffen
  6. Samenvatting
Het op elkaar delen van twee reeksen gaat als volgt:
Dit wordt een boeiende staartdeling:
Laat ik het even concreet maken met een beperkt aantal termen:
Hieruit kan ik aflezen:



Voor de coëfficiënten van de resulterende reeks C geldt dus:

Machtsverheffen


  1. Optellen
  2. Aftrekken
  3. Vermenigvuldigen
  4. Delen
  5. Machtsverheffen
  6. Samenvatting
Bij het machtsverheffen ga ik ervanuit dat de exponent een positief geheel getal is:
Ik ga dit in stappen opbouwen. Voor p = 1 is het simpel, dat is de reeks zelf:
De volgende stap is p = 2, het kwadraat van de reeks:
Vervolgens komt p = 3:
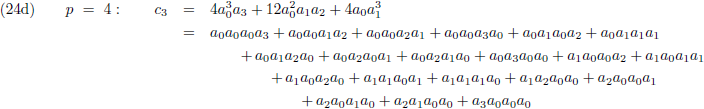
En tenslotte werk ik ook p = 4 uit:
Ik kan uit de voorgaande vergelijkingen c0 aflezen:



En ook c1:



De waarden van c2:



Van c3:



En ook van c4:



De regelmaat in de coëfficiënt c0 volgt uit de vergelijkingen (21) en is eenvoudig te zien:
Alle andere coëfficiënten zijn een heel stuk ingewikkelder. We zien dat iedere term p a-coëfficiënten bevat waarbij de som van de indices gelijk is aan n. Het aantal termen per c-coëfficiënt is gelijk aan het aantal mogelijke permutaties waarbij de som van de indices gelijk is aan n. Na heel lang puzzelen is dit dan het resultaat voor de coëfficiënten van de resulterende reeks C:

Samenvatting


  1. Optellen
  2. Aftrekken
  3. Vermenigvuldigen
  4. Delen
  5. Machtsverheffen
  6. Samenvatting
Optellen:
Aftrekken:
Vermenigvuldigen:
Delen:
Machtsverheffen: