Afbuiging van een lichtstraal volgens Einstein

Bereken de afbuiging van een lichtstraal, onder invloed van de zwaartekracht, zoals Einstein dat gedaan heeft.

Schwarzschild

Euler

Lagrange

Tegenwoordig is de berekening van de afbuiging van een lichtstraal een standaardexercitie in ieder boek over algemene relativiteitstheorie, waarbij men uitgaat van de Schwarzschild-oplossing, vervolgens de Euler-Lagrange-vergelijking inzet, en daarna de resulterende differentiaalvergelijking in een eerste orde benadering oplost.


Einstein

Echter, toen Einstein in 1915 met zijn algemene relativiteitstheorie kwam was er nog helemaal geen exacte oplossing beschikbaar en Einstein heeft daarom flink moeten ‘knutselen’ om het antwoord te vinden. Hij doet daar redelijk uitgebreid verslag van in zijn artikel en dat pad gaan we hier volgen.

De algemene relativiteitstheorie was destijds een gloednieuw stuk natuurkunde en bepaalde notaties, die tegenwoordig redelijk standaard zijn, waren er toen nog niet. Daarom moeten we even rekening houden met een aantal zaken:

Principia

Newton

Het is 1687 wanneer de eerste uitgave (350 exemplaren) van het boek Philosophiae Naturalis Principia Mathematica, kortweg Principia, van Isaac Newton beschikbaar komt. In dit boek beschrijft Newton onder andere de zwaartekracht en hij laat de wereld tevens zijn gravitatiewet na:

Nu, ruim driehonderd jaar later, leert iedere scholier op het voortgezet onderwijs met natuurkunde in zijn/haar pakket nog steeds de werking van de zwaartekracht middels die gravitatiewet van Newton. Ook echte wetenschappers maken in overgrote meerderheid nog altijd gebruik van Newton’s wet, want die is simpel en voldoet eigenlijk altijd.

Einstein wist dit uiteraard en besefte terdege dat zijn relativiteitstheorie in ‘gewone huis-tuin-en-keuken-gevallen’ in overeenstemming diende te zijn met de gravitatiewet van Newton om de doodeenvoudige reden dat berekeningen met Newton’s wet heel erg goed overeenstemmen met de werkelijkheid. Oftewel, de gravitatiewet van Newton dient als hele goede benadering uit de bus te komen voor de relativiteitstheorie van Einstein. Einstein wist ook dat de speciale relativiteitstheorie een specifiek geval van de algemene relativiteitstheorie is, en zich daardoor kenmerkt dat de metrische tensor g in dat geval de volgende vorm aanneemt:

Oorspronkelijke vergelijking uit het artikel van Einstein:
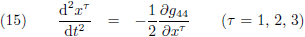
Met andere woorden: in een dergelijk geval is iedere gravitatiewerking afwezig. Een benadering die dichter bij de werkelijkheid komt is wanneer de gμν maar een beetje van nul of één afwijken, waarbij “een beetje” door Einstein gedefinieerd wordt als een eerste orde afwijking. Afwijkingen van tweede - en hogere orde worden dus verwaarloosd en hij noemt dit het eerste uitgangspunt van de benadering (de benadering van de algemene relativiteitstheorie die moet leiden tot de gravitatiewet van Newton). Verder nemen we aan dat de gμν in het oneindige de waarden van vergelijking (2) aannemen en dat alle afwijkingen van de gμν (afwijkingen van vergelijking (2)) het gevolg zijn van massa die zich op eindige afstanden bevindt (waarbij ‘eindig’ natuurlijk een rekbaar begrip is, maar Einstein gaat ervanuit (en ik ook) dat je gevoelsmatig wel snapt wat hij bedoelt).

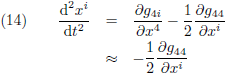
Met deze aannames zouden we op Newton’s theorie uit moeten komen, maar Einstein komt met nog een tweede uitgangspunt. Volgens de volgende wet van Newton bepaalt de kracht die wordt uitgeoefend op een object de versnelling (snelheidsverandering) van dat object:
Volgens bovenstaande wet van Newton beweegt ieder object waar geen kracht op wordt uitgeoefend (F = 0) zich met constante snelheid langs een rechte lijn (en in de Newtonse benadering is de massa constant):
Dit gaan we vergelijken met de vergelijking van een geodetische lijn:

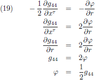
Oorspronkelijke vergelijking uit het artikel van Einstein:
In onze dagelijkse ervaring treden alleen maar snelheden op die veel kleiner zijn dan de snelheid van het licht (v c) en dit betekent dat zowel voor een eerste - als tweede orde benadering geldt:
We kunnen daarom tevens stellen dat:


Snelheden hebben dan de bekende vorm:

Oorspronkelijke vergelijking uit het artikel van Einstein:
De componenten van de snelheid (datgene wat in vergelijking (8) onder het wortelteken tussen de haakjes staat, oftewel de vergelijkingen (7)) zijn dan tevens als ‘klein’ aan te merken (klein ten opzichte van de lichtsnelheid). Dat dx4/ds bij goede benadering gelijk is aan één is het tweede uitgangspunt van Einstein’s benadering (Einstein gebruikt x4 voor de tijdcoördinaat, tegenwoordig gebruikt men daar x0 voor). Samengevat: Omdat volgens de tweede aanname geldt dat ds ≈ dx4 gaat vergelijking (5) over in:
In de rechterterm van deze vergelijking wordt gesommeerd over de indices μ en ν die allebei de waarden 1, 2, 3, 4 doorlopen (dus zestien combinaties in totaal). Maar aangezien we net geconcludeerd hebben dat de componenten van de snelheid, volgens vergelijking (8), klein zijn (ten opzichte van de lichtsnelheid) zal de term waarbij μ = ν = 4 dominant zijn. We kunnen dus ook schrijven:

Oorspronkelijke vergelijking uit het artikel van Einstein:
En dat kan ik ook schrijven als:
Vergelijking (11) ga ik splitsen:

Oorspronkelijke vergelijking uit het artikel van Einstein:


Oorspronkelijke vergelijking uit het artikel van Einstein:
Dus waar Newton zegt dat een vrij deeltje (een deeltje waar geen krachten op inwerken) een rechte lijn volgt:
Daar zegt Einstein dat een vrij deeltje een geodetische lijn volgt:

Oorspronkelijke vergelijking uit het artikel van Einstein:

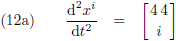
Het is nu wel heel interessant om vergelijking (12a) aan een nader onderzoek te onderwerpen. Ik ga daarom die vergelijking nog verder uitschrijven:
Vervolgens stelt Einstein ook nog dat het gravitatieveld quasi-statisch is, want we hebben hiervoor immers aangenomen dat alle snelheden ver beneden die van de lichtsnelheid liggen (dus ook de snelheden van de massa’s die zwaartekracht genereren). Daarom kan ik de eerste term aan de rechterkant van bovenstaande vergelijking verwaarlozen omdat dat een afgeleide naar de tijd (x4 = t) is:
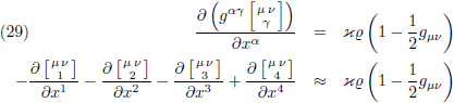
Het is tegenwoordig gebruikelijk dat Latijnse indices alleen over de drie ruimtelijke dimensies ‘lopen’ en Griekse indices over alle vier dimensies. Dat was in de tijd van Einstein nog niet het geval en daarom zal ik bovenstaande vergelijking even schrijven volgens Einstein’s notatie:

Oorspronkelijke vergelijking uit het artikel van Einstein:
Door hier Newton’s theorie tegenover te zetten met zwaartekracht ontstaat (waarbij ik naar keuze m1 of m2 uitdeel, en het minteken komt erbij omdat het zwaartekrachtveld richting de oorsprong gericht is):

Het zwaartekrachtveld van een puntmassa
(de z-richting is niet getekend)
Het zwaartekrachtveld is een conservatief veld en er bestaat dus een potentiaalfunctie voor het zwaartekrachtveld en die noem ik φ:

In een conservatief veld kost de route van A naar B altijd evenveel energie
Dan kan ik (16) ook schrijven als:
Door de vergelijkingen (15) en (18) met elkaar te vergelijken kom ik tot:
Vervolgens merkt Einstein terecht op dat het op zich merkwaardig is dat in eerste benadering alleen de component g44 van de metrische tensor de uitkomst van de bewegingsvergelijking (15) bepaalt.

Nu richt Einstein zich op de veldvergelijkingen:


Oorspronkelijke vergelijking uit het artikel van Einstein:
De volgende stap is om een benadering te vinden voor de energietensor T. In paragraaf 19 (van het artikel van Einstein) vonden we:

Oorspronkelijke vergelijking uit het artikel van Einstein:
De indices α en β doorlopen ook hier allebei de waarden 1, 2, 3, 4 (dus zestien combinaties in totaal), maar net zoals in het voorgaande is de dominante component die waarbij α = β = 4. Bovendien is de energie van de materie (E = mc2) normaliter dominant over de energie van de druk (dus ρ p). We kunnen dus ook schrijven:
Oftewel:

Oorspronkelijke vergelijking uit het artikel van Einstein:
Dit tussenresultaat vul ik in in vergelijking (20a):

Christoffel

Vervolgens schrijf ik de Christoffel-symbolen iets anders op:

Nu ga ik de Christoffel-symbolen omschrijven van de tweede soort naar de eerste soort:
Voor de Christoffel-symbolen van de eerste soort geldt:
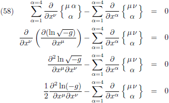
Je zou dus kunnen zeggen dat de eerste term aan de linkerkant van vergelijking (26) gμν’s bevat tot de tweede macht en de tweede term bevat gμν’s tot de vierde macht. Omdat de gμν’s die niet op de hoofddiagonaal liggen heel klein zijn zal de eerste term daarom veel meer bijdragen dan de tweede term. Bij goede benadering kunnen we dus stellen dat:
Omdat de componenten van de metrische tensor die op de hoofddiagonaal liggen dominant zijn gaat dit over in:

Oorspronkelijke vergelijking uit het artikel van Einstein (voor het linkerlid):
Er zit helaas niets anders op dan dit helemaal uit te schrijven:
We kiezen natuurlijk weer voor die termen waarvoor geldt dat μ = ν = 4:
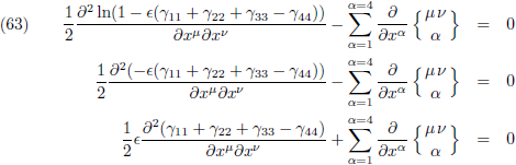
En om dezelfde reden als hiervoor gooien we alle afgeleiden naar de tijd (x4 = t) weer overboord:

Oorspronkelijke vergelijkingen uit het artikel van Einstein:

Met een kleine aanpassing kan ik ook schrijven:
En door daar vergelijking (19) in in te vullen kom ik tot:
De evenredigheidsconstante is (Einstein heeft c = 1 gesteld, maar slordig als hij is doet hij dat niet consequent, bovendien haalt hij en de gravitatieconstante G (waarvoor hij de letter K gebruikt) door elkaar):

Poisson

Waarmee vergelijking (34) overeenkomt met de vergelijking van Poisson die we in paragraaf 16 (van het artikel van Einstein) al tegenkwamen:


Oorspronkelijke vergelijking uit het artikel van Einstein:

We hebben gezien dat van de zestien gμν-componenten (waarvan er tien onafhankelijk zijn) bij eerste benadering alleen de component g44 de bewegingsvergelijking van een object in een zwaartekrachtveld bepaalt:

Oorspronkelijke vergelijking uit het artikel van Einstein:
Daarbij gingen we ervanuit dat de gμν maar ‘een beetje’ afwijken van de volgende waarden:

Oorspronkelijke vergelijking uit het artikel van Einstein:
Echter, we zijn er telkens vanuit gegaan dat:

Oorspronkelijke vergelijking uit het artikel van Einstein:
Helemaal uitgeschreven ziet de determinant g er zo uit:
Einstein merkt daarom terecht op dat behalve g44 er ook nog andere componenten van de metrische tensor moeten afwijken van de waarden van vergelijking (2) in het geval dat we een eerste orde benadering uitvoeren. Oftewel, we gaan proberen te vinden hoe (de kleine afwijkingen van) de componenten van de metrische tensor g er uit zien:
Einstein gaat uit van een puntmassa die zich in de oorsprong van één of ander coördinatenstelsel bevindt. Die puntmassa genereert uiteraard een zwaartekrachtveld en dit veld zal symmetrisch zijn in de x, y en z-richting, want er is verder geen enkel ander object aanwezig die die symmetrie zou kunnen verstoren.

Het zwaartekrachtveld van een puntmassa
(de z-richting is niet getekend)
Indien we denken volgens Newton dan heeft het veld de volgende potentiaal:
Waarbij r gelijk is aan (in een Cartesisch stelsel):

Oorspronkelijke vergelijking uit het artikel van Einstein:
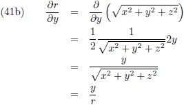
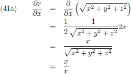
Ik bepaal even wat partiële afgeleiden:


Dan kan ik voor het interval schrijven:
Hieruit kunnen we de volgende gμν-componenten pikken:








Oftewel, in een Euclidische ruimte zou ik hebben:
En alle andere componenten van de metrische tensor zouden dan nul zijn, maar het voorafgaande laat zien dat ik dit breder kan trekken (dus niet-Euclidisch en niet-Cartesisch beschouwd):
Omdat de puntmassa zich in de oorsprong bevindt en in de tijd gezien niets doet, het veld is dus statisch, kan ik stellen dat:

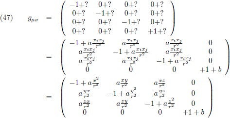
Met de wijsheid van de vergelijkingen (45) en (46) kan ik de tensor g van vergelijking (39) invullen:
Hierin zijn a en b nog onbekende functies. Dat de ruimtelijke componenten van de gμν (μ = 1, 2, 3 en ν = 1, 2, 3) dezelfde afwijking van één hebben is logisch gezien het feit dat we een volkomen symmetrische situatie hebben rondom de oorsprong. De voor de hand liggende vraag is natuurlijk: hoe vinden we nu a en b?

Daarvoor gooien we dit probleem over een hele andere boeg. Binnen de algemene relativiteitstheorie heb ik deze metrische tensor:
En binnen de speciale relativiteitstheorie heb ik deze metrische tensor:
We gaan nu het volgende doen. Omdat we ervanuit gaan dat de gμν-componenten maar een beetje afwijken van de ημν-componenten stelt ons dit in staat een zogenaamde lineaire benadering, oftewel een eerste orde benadering, toe te passen. Om te beginnen stel ik:
Of voluit geschreven:
In het vervolg dat nu gaat komen neem ik alleen de eerste ordes mee van de verstoringsparameter ε (we doen immers een eerste orde benadering), dus kwadraten en hogere machten ga ik verwaarlozen. Door die verwaarlozingen, die in het hiernavolgende deel gaan plaatsvinden, gaat de sommatieconventie niet meer eenduidig werken. De sommatieconventie zegt dat er in iedere term van een vergelijking gesommeerd moet worden over de index die precies tweemaal voorkomt, éénmaal laag en éénmaal hoog, en die duidelijkheid verdwijnt wanneer we gaan verwaarlozen. Daarom voeg ik tot nader order de sommeringstekens toe zodat er geen verwarring kan ontstaan. En ik wil er nogmaals op wijzen dat Griekse indices over vier dimensies lopen en Latijnse indices alleen over de drie ruimtelijke dimensies.

Riemann

De Riemann-tensor luidt:


Oorspronkelijke vergelijking uit het artikel van Einstein:

Door daar een contractie op uit te voeren brengt ons dat bij:
De laatste twee termen (met de vermenigvuldigingen van de Christoffel-symbolen) genereren kwadraten van de verstoringsparameter ε en in de lineaire benadering waar we nu mee bezig zijn gooi ik die dus overboord:
In paragraaf 14 (van het artikel van Einstein) heeft Einstein de eis geformuleerd dat de bovenstaande tensor verdwijnt (nul wordt) indien er geen massa aanwezig is. En omdat we het hier hebben over een puntmassa in de oorsprong is er verder helemaal nergens massa. Oftewel, buiten de oorsprong is de tensor Bμν gelijk aan nul:
Waarmee vergelijking (54) wordt:
In paragraaf 12 (van het artikel van Einstein) kwam langs:
Hiermee schrijf ik vergelijking (56) om:
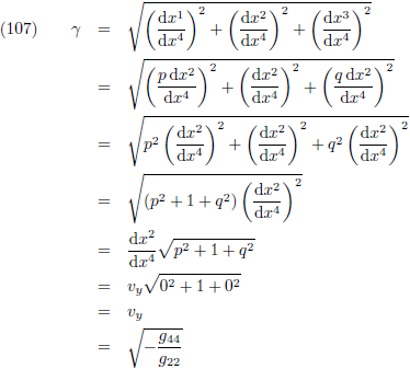
We kunnen de determinant g bepalen als volgt:
Echter, omdat we kwadraten en hogere machten van ε verwaarlozen reduceert dit tot de eerste term:
Dit resultaat stoppen we in (58):

Taylor

In de tabel met Taylor-reeksen vinden we:

Als eerste orde benadering geldt dan:
Dit gegeven gebruik ik om vergelijking (60) te vereenvoudigen:
Vervolgens ga ik met de tweede term van de bovenstaande vergelijking knutselen:
De afgeleiden van ημν zijn uiteraard nul, omdat ημν alleen maar constanten (getallen) bevat. Daardoor reduceert (64) tot:
De termen met ε2 kunnen we verwaarlozen en daarna kunnen we ε zelfs uitdelen:
Nu hebben we een vergelijking waarin de parameter ε helemaal niet meer voorkomt! Het is ook te zien dat alle componenten waarbij α ≠ β nul worden (want ηαβ is dan nul). Verder ga ik nu onderscheid maken tussen α = β = 4 (= t) en de ruimtelijke dimensies:
We hebben een statische situatie, dus alle afgeleiden naar de tijd zijn nul en vallen eruit:
Het is op dit punt wel even interessant om te kijken naar de situatie μ = ν = 4 (= t), en alle afgeleiden naar de tijd er gelijk weer uit te kieperen:
Hetgeen helemaal overeenkomt met wat we eerder al vonden:

Oorspronkelijke vergelijking uit het artikel van Einstein:
Want we beschouwen nu de ruimte buiten de puntmassa in de oorsprong, en aangezien daar geen massa is, en de massadichtheid dus gelijk aan nul is, zijn de vergelijkingen (32) en (69) equivalent. Voor extra duidelijkheid:
Uitgaande van de vergelijkingen (69) en (70) kijk ik vervolgens naar de tensor van vergelijking (47) en dan volgt daar het volgende uit:
Dus we zijn alvast iets wijzer geworden over de onbekende b.

Ik wil nogmaals vermelden dat we een volkomen statische situatie hebben, dus er beweegt niets, er roteert niets, alles ‘staat stil’. Dan ligt het voor de hand om aan te nemen dat er geen ‘kruisbestuiving’ plaatsvindt tussen de ruimtelijke dimensies en dat in de metrische tensor alle componenten die niet op de hoofddiagonaal liggen gelijk aan nul zijn. Vervolgens keren we terug naar vergelijking (68) en kijken we alleen naar de componenten op de hoofddiagonaal. Daarvoor stel ik ν = μ:
Ik ga dit nog iets verder uitwerken en ik vul de componentwaarden van de tensor van vergelijking (47) in (voor zover mogelijk):
Tenslotte sommeer ik over μ = 1, 2, 3, 4:
Volgens goed gebruik gooien we de afgeleiden naar de tijd eruit:
Omdat er geen ‘kruisbestuiving’ plaatsvindt tussen de ruimtelijke dimensies betekent dat dat in bovenstaande vergelijking alle termen tussen de haken nul zijn. Dan gaat (75) over in:
Oftewel, afgezien van eventuele constanten:
Einstein gaat hier zomaar vanuit in zijn artikel en ik vond dat een beetje kort door de bocht, daarom deze vrij lange omweg. Ik vul dit vervolgens in in de tensor van vergelijking (47):
Nu hebben we de onbekende b geëlimineerd en rest ons nog de taak om een uitdrukking voor a te vinden. In vergelijking (71) vonden we dat ∆b = 0, en volgens (76) en (77) geldt dan ook dat ∆a = 0.

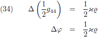
Vergelijking (19) leerde ons:
Hierin is φ de potentiaalfunctie van het zwaartekrachtveld volgens de newtoniaanse zwaartekracht. Dit stelt ons in staat om a te bepalen:
Oftewel, afgezien van eventuele constanten:
Nu maken we nogmaals gebruik van vergelijking (17):
Voor a vind ik dan:
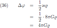
Ik stel:

Oorspronkelijke vergelijking uit het artikel van Einstein:
Einstein zit hier even een factor twee verkeerd en schrijft 8π in plaats van 4π, maar verderop doet hij het wel goed. Nu kan ik voor a schrijven:
En door dit vervolgens in te vullen in de metrische tensor van vergelijking (78) krijg ik tenslotte:
Of in indexnotatie:




Oorspronkelijke vergelijking uit het artikel van Einstein:
Einstein merkt nog op dat met de bovenstaande tensor (84) aan de veldvergelijkingen voldaan wordt, in een eerste orde benadering wel te verstaan. Dat heb ik hiervoor uitgebreid laten zien, want ik ben uitgegaan van een lineaire benadering (= eerste orde), dus dat klopt inderdaad (uiteraard).

Dan stelt Einstein het gedrag van lichtstralen in een zwaartekrachtveld aan de orde. Een afstand in de vierdimensionale ruimtetijd, het interval, binnen de speciale relativiteitstheorie is:
Het lichtachtige interval, het interval van een lichtstraal, is gelijk is aan nul. Dan wordt vergelijking (86):
En indien we een klein stukje ruimtetijd beschouwen wordt dit:

Oorspronkelijke vergelijking uit het artikel van Einstein:
Het equivalent van (87) binnen de algemene relativiteitstheorie is:

Oorspronkelijke vergelijking uit het artikel van Einstein:
Indien de richting van de lichtstraal bekend is dan betekent dit dat de verhouding tussen dx, dy en dz bekend is. Of in indexnotatie geschreven: de verhouding tussen dx1, dx2 en dx3:

Oorspronkelijke vergelijking uit het artikel van Einstein:
Met behulp van vergelijking (89) opent dat de deur om deze grootheden te bepalen:

Oorspronkelijke vergelijking uit het artikel van Einstein:


Oorspronkelijke vergelijking uit het artikel van Einstein:


Oorspronkelijke vergelijking uit het artikel van Einstein:
Dus dat gaan we natuurlijk doen. Door te stellen dat:

Vervolgens ga ik vergelijking (89) helemaal uitschrijven en ook gebruik maken van de bovenstaande twee vergelijkingen:
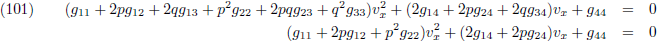
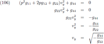
Nu heb ik een eenvoudige tweedegraads vergelijking waaruit ik de snelheid vx, de snelheid in de x-richting, kan oplossen. En door die daarna te vermenigvuldigen met p respectievelijk q vind ik gemakkelijk de snelheden vy en vz en heb ik dus alle componenten van de snelheid v gevonden. In een Euclidische ruimte (en een heel klein stukje ruimte is altijd Euclidisch, want we komen daar in het limietgeval van de algemene relativiteitstheorie zijnde de speciale relativiteitstheorie) kan ik dan voor de snelheid schrijven:

Oorspronkelijke vergelijking uit het artikel van Einstein:
Dit kan ik ook schrijven als:
We hebben inmiddels geleerd dat zwaartekracht de ruimte vervormt. Maar anderzijds hebben we de heilige graal van het elektromagnetisme die zegt dat de snelheid van het licht een absolute constante is. Indien we te maken hebben met een gekromde ruimte dan zijn de componenten van de metrische tensor, de gμν, geen constanten meer maar variabelen. Volgens vergelijking (92) zal vx daardoor ook variabel worden en vergelijking (94) zegt dat het daardoor onvermijdelijk is dat p en q ook variabel worden om de constante lichtsnelheid veilig te stellen. En omdat p en q de richting bepalen van de lichtstraal betekent dit dat zwaartekracht een lichtstraal laat afbuigen.

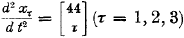
Ieder antwoord dat de mensheid vindt leidt logischerwijs tot de volgende vraag en dat is in dit geval: hoeveel dan? Hoeveel wordt een lichtstraal afgebogen door de zwaartekracht van een bepaald voorwerp? Dat gaan we nu berekenen. In het artikel van Einstein gaat dat vergezeld van een plaatje, het enige plaatje in het artikel, en die heb ik gekopieerd en hieronder geplaatst:
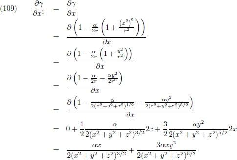
We gaan uit van een x1-x2-vlak (een x-y-vlak) met daarin een lichtstraal die de x1-as (de x-as) kruist precies parallel aan de x2-as (de y-as). De x3-as (de z-as) staat loodrecht op het papier en die doet niet mee in het verhaal. In de oorsprong van dit assenstelsel bevindt zich een puntmassa m en de lichtstraal passeert deze puntmassa op een afstand ∆. De lichtstraal dendert voort in de richting van zijn snelheid γ (in bovenstaande figuur is dat de x2-richting op het moment dat de lichtstraal de x1-as kruist) en de richting die hier loodrecht op staat noemen we n (in bovenstaande figuur is dat de x1-richting op het moment dat de lichtstraal de x1-as kruist). Een afbuiging in een bepaalde richting betekent dat er in die richting een kracht werkt en dus ook een versnelling. Versnelling is gedefinieerd als:
Of in dit geval:
De afbuiging van de lichtstraal vindt uiteraard plaats in de richting n (of −n) en als we willen weten hoeveel de lichtstraal afbuigt, en niet hoe snel de lichtstraal afbuigt, dan zijn we geïnteresseerd in de volgende grootheid (met een minteken, want de afbuiging vindt plaats in de richting van de puntmassa):

Oorspronkelijke vergelijking uit het artikel van Einstein:
De richting loodrecht op de voortplantingsrichting van de lichtstraal is x1, en omdat de lichtsnelheid zeer groot is zal de afbuiging van de lichtstraal gering zijn en staat x1 bij goede benadering de hele tijd loodrecht op de lichtstraal. Daarom kunnen we voor (97) ook schrijven:
De afbuiging van de lichtstraal terwijl die een stukje dx2 aflegt is dan:
Waarmee de totale afbuiging van de lichtstraal wordt:

Oorspronkelijke vergelijking uit het artikel van Einstein:
Goed, het is weer tijd om te knutselen. Allereerst pak ik vergelijking (92):
Omdat er in de z-richting niets gebeurt is q = 0 en houden we dit over:
Een blik op de metrische tensor van (85) herinnert ons eraan dat gi4 = 0 waardoor we nog wat termen kunnen wegstrepen:
Ik heb dy en dz middels p en q aan dx gekoppeld, maar ik had ook dy als referentierichting kunnen nemen als volgt:

Vergelijking (102) had er dan op dit punt zo uitgezien (dat mag je zelf narekenen):
Zoals ik hiervoor al aangaf staat x1 bij goede benadering de hele tijd loodrecht op de lichtstraal en reist de lichtstraal de hele tijd (ook bij goede benadering) in de richting van x2. Dat houdt in dat p = 0 en dan gaat (105) over in:
Dit ga ik gebruiken in (93):
Deze twee componenten kan ik aflezen uit de metrische tensor van (85):

Oorspronkelijke vergelijking uit het artikel van Einstein:
Dit resultaat ga ik vervolgens partieel differentiëren naar x1, en voor de overzichtelijkheid gebruik ik in de rest van deze berekening x1 = x, x2 = y en x3 = z:
Nu kan ik de integraal gaan uitrekenen en die splits ik op in twee integralen:
De oplossing van de linkerintegraal zoek ik op in de tabel met integralen en de oplossing van de rechterintegraal zoek ik ook op in de tabel met integralen. Dat brengt ons bij dit tussenresultaat:
We weten dat z = 0:
En we weten dat de x-afstand tot de puntmassa gelijk is aan ∆:
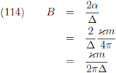
Nu ga ik α invullen:

Oorspronkelijke vergelijking uit het artikel van Einstein:
Einstein zit hier weer even een factor twee verkeerd en schrijft 4π in plaats van 2π, maar hij rekent het getal wel goed uit.