Uitleg artikel algemene relativiteitstheorie: paragraaf 14
Theorie van het zwaartekrachtveld.
Paragraaf 14:
De veldvergelijkingen van de zwaartekracht bij de afwezigheid van materie.
Er is zwaartekracht en er is ‘de rest’. En ‘de rest’ noemen we materie, dus alles wat niet onder de noemer “zwaartekrachtveld” valt is materie. We kennen uiteraard de ‘klassieke’ materie, alles wat je aan kunt raken, maar het begrip materie heeft een hele andere betekenis gekregen met Einstein’s beroemdste vergelijking:

Energie en massa zijn twee zijden van dezelfde munt! Dus alles wat er om ons heen aanwezig is aan energie zoals:
- (zichtbaar) licht,
- warmte (infraroodstraling),
- radiosignalen,
- televisiesignalen,
- het verkeer met je mobiele telefoon,
- ultraviolet,
- Röntgen-straling,
- kosmische ruis,
- gammastraling,
- enzovoort

Onze samenleving hangt aan elkaar van elektromagnetisme
In deze paragraaf zoeken we de veldvergelijkingen van de zwaartekracht bij de afwezigheid van materie. Er is ergens massa die de bron is van een zwaartekrachtveld en buiten die massa is alleen maar zwaartekrachtveld aanwezig en verder helemaal niets, oftewel er is wel gravitatie maar in het veld is geen materie. De veldvergelijkingen die we zoeken, hoe ze ook luiden, moeten uiteraard altijd geldig zijn, dus ook in het speciale geval dat de speciale relativiteitstheorie van toepassing is in een bepaald stuk ruimtetijd en de gμν constanten zijn. We noemen dit het stelsel K0. In dit stelsel zijn alle componenten van de Riemann-tensor nul:
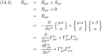
Nu komt Einstein met een gewaagde zet. Hij zegt: het ligt dichtbij (“es liegt nahe”) om te eisen dat de tensor Bμν (die we in paragraaf 12 afgeleid hebben uit de Riemann-tensor) verdwijnt (dus nul wordt). Deze tensor is symmetrisch en levert tien onafhankelijke vergelijkingen op voor de tien verschillende gμν’s. Ik haal vergelijking (12.13/E44) uit paragraaf 12 erbij:



Oorspronkelijke vergelijking uit het artikel van Einstein:


Oorspronkelijke vergelijking uit het artikel van Einstein:
- Bμν is de enige tensor van de tweede rang die uit gμν en afgeleiden daarvan gevormd is.
- Bμν bevat alleen eerste afgeleiden en tweede afgeleiden van gμν, dus geen hogere afgeleiden.
- Bμν is lineair (een lineaire functie van de gμν).

Oorspronkelijke vergelijking uit het artikel van Einstein:

Oorspronkelijke vergelijking uit het artikel van Einstein:
Wat hij nog veel belangrijker vindt is dat uit de eis van het relativiteitsprincipe en vervolgens via puur wiskundige principes deze vergelijkingen tevoorschijn zijn gekomen. En uiteindelijk vallen de bewegingsvergelijkingen (zie paragraaf 13) als eerste orde benadering weer terug op de zwaartekrachtwet van Newton, en de tweede orde benadering verklaart de afwijking in de baan van de planeet Mercurius (waar ik het in paragraaf 1 al over had) zoals die door Le Verrier ontdekt was en onverklaarbaar bleef totdat Einstein met zijn algemene relativiteitstheorie kwam. Volgens Einstein moet dit van de fysische juistheid van zijn theorie overtuigen.





Naar de uitleg van de volgende paragraaf: paragraaf 15
Naar de uitleg van de vorige paragraaf: paragraaf 13
Overzichtspagina van het artikel
Overzichtspagina relativiteitstheorie
De integraal van
De integraal van
De integraal van
De integraal van
De integraal van
De integralen van
De integralen van
Vectoren, vraagstuk 21
Vectoren, vraagstuk 66
Vraagstukken xref voor de UT
De Taylor-reeks van
De Taylor-reeks van
Wiskunderaadsels
Catalan-getallen
Holomorfie van de functie
Relativiteitstheorie basic, hoofdstuk 8: nabeschouwingen
Vraagstukken relativiteitstheorie
De magnetische kracht als relativistisch bijverschijnsel
Tijdsvertraging van een lichtstraal, 2e orde benadering
Kwantummechanica
De integraal van
De Witte Dag
De integraal van
De cycloïde
De minimale straal van een holle bol
Een planeettijdreismachine
De integralen van
Gravitationele rood-/blauwverschuiving
Getijdenkrachten
Zijn wij vroeg of laat?
Overzichtspagina wiskunde
Overzichtspagina natuurkunde
Overzichtspagina filosofie
Doneer enkele euro’s
Wetenschappelijke boeken te koop
Lezingen