Hyper-Catalan-getallen
Polygonen (veelhoeken) kun je verdelen in subpolygonen.
Bijvoorbeeld een achthoek (een polygon met acht hoeken) kan ik verdelen in twee vijfhoeken door er simpelweg
een diagonaal in te tekenen.
Figuur 1
Ik kan de diagonaal ook anders tekenen, van linksonder naar rechtsboven.
Figuur 2
De figuren 1 en 2 zijn identiek, want door de ene figuur vijfenveertig graden te roteren ontstaat de andere.
Door het polygon, in dit voorbeeld de achthoek, een referentiezijde te geven is dat niet meer zo.
Deze referentiezijde is het
dak van het
polygon en die geef ik vanaf nu aan met rood.
De figuren 1 en 2 worden nu verschillend en ik combineer ze hieronder.
Figuur 3
En er zijn nog wat spelregels, ten eerste:
- het polygon moet convex zijn, dit betekent dat alle binnenhoeken kleiner dan honderdtachtig graden zijn.
Figuur 4
Alle hoeken α
i zijn kleiner dan honderdtachtig graden,
dit polygon is convex
Het polygon van figuur 5 is niet convex, want α
4 is groter dan honderdtachtig graden.
Figuur 5
De hoek α
4 is groter dan honderdtachtig graden,
dit polygon is niet convex
Ten tweede:
- ieder lijntje dat ik teken moet van een hoek naar een hoek gaan, het moet een diagonaal zijn.
Dus de constructie volgens figuur 6 mag niet.
Figuur 6
En ten derde:
- de lijntjes die ik teken mogen elkaar niet snijden.
Dus de constructie volgens figuur 7 mag ook niet.
Figuur 7
Alle spelregels samengevat in één zin:
- het op te delen polygon moet convex zijn en mag alleen opgedeeld worden middels niet-snijdende diagonalen.
Dan ga ik nu beginnen om polygonen op te delen in polygonen en ik begin met verdelingen in driehoeken en vierhoeken.
Ik teken de polygonen allemaal met zijden die even lang zijn, dat ziet er wat fraaier uit maar het maakt verder helemaal
niets uit voor het resultaat (het aantal verdelingen).
Ik kan bijvoorbeeld een vijfhoek, een
pentagon,
verdelen in één driehoek en één vierhoek op vijf verschillende manieren.
Figuur 8
De vijfhoek is op vijf manieren te verdelen
in een driehoek en een vierhoek
Een zeshoek, een
hexagon,
kan ik op 21 verschillende manieren verdelen in twee driehoeken en een vierhoek.
Ik zet ze in vier rijen, want het zijn vier varianten waarbij de oranje lijnen telkens een hoek doordraaien tegen
de wijzers van de klok in.
Figuur 9
De zeshoek is op 21 manieren te verdelen
in twee driehoeken en een vierhoek
Een zevenhoek, een
heptagon
of
septagon
[Grieks:
hepta = zeven, Latijn:
septa = zeven], kan ik op 28
verschillende manieren verdelen in een driehoek en twee vierhoeken.
Ik zet ze in vier rijen, waarbij per rij wederom rotatievarianten naast elkaar staan.
Figuur 10
De zevenhoek is op 28 manieren te verdelen
in een driehoek en twee vierhoeken
Een zevenhoek kan ik ook anders verdelen, namelijk in drie driehoeken en een vierhoek en wel op 84
verschillende manieren.
Ik zet ze in twaalf rijen, met rotatievarianten per rij.
Figuur 11
De zevenhoek is op 84 manieren te verdelen
in drie driehoeken en een vierhoek
Een achthoek, een
octagon,
kan ik op 180 verschillende manieren verdelen in twee driehoeken en twee vierhoeken.
Ik zet ze in 25 rijen, met rotatievarianten per rij.
Figuur 12
De achthoek is op 180 manieren te verdelen
in twee driehoeken en twee vierhoeken
Een negenhoek, een
enneagon of
nonagon [Grieks:
ennea = negen, Latijn:
nona = negen],
kan ik op 165 verschillende manieren verdelen in een driehoek en drie vierhoeken.
Ik zet ze in negentien rijen, met rotatievarianten per rij.
Figuur 13
De negenhoek is op 165 manieren te verdelen
in een driehoek en drie vierhoeken
Dit is natuurlijk meer dan zomaar een tekenspelletje, laat ik de zes verschillende verdelingen die ik zojuist
heb laten zien eens in een tabel zetten:
| Aantal vierhoeken --> |
0 | 1 | 2 |
3 | 4 | 5 |
| Aantal driehoeken |
| 0 | | | | | | |
| 1 | | 5 | 28 | 165 | | |
| 2 | | 21 | 180 | | | |
| 3 | | 84 | | | | |
| 4 | | | | | | |
| 5 | | | | | | |
De combinatie nul-nul (nul driehoeken en nul vierhoeken) geven we
per definitie de waarde één.
| Aantal vierhoeken --> |
0 | 1 | 2 |
3 | 4 | 5 |
| Aantal driehoeken |
| 0 | 1 | | | | | |
| 1 | | 5 | 28 | 165 | | |
| 2 | | 21 | 180 | | | |
| 3 | | 84 | | | | |
| 4 | | | | | | |
| 5 | | | | | | |
De linker kolom gaat over verdelingen maken met enkel en alleen driehoeken (het aantal vierhoeken is nul),
dat zijn de Catalan-getallen:
| Aantal vierhoeken --> |
0 | 1 | 2 |
3 | 4 | 5 |
| Aantal driehoeken |
| 0 | 1 | | | | | |
| 1 | 1 | 5 | 28 | 165 | | |
| 2 | 2 | 21 | 180 | | | |
| 3 | 5 | 84 | | | | |
| 4 | 14 | | | | | |
| 5 | 42 | | | | | |
 |  |
| | | | |
| p |  | | | | | |
De bovenste rij gaat over verdelingen maken met enkel en alleen vierhoeken (het aantal driehoeken is nul),
dat zijn de Fuss-getallen:
| Aantal vierhoeken --> |
0 | 1 | 2 |
3 | 4 | 5 |
 | q |
| Aantal driehoeken |
| 0 | 1 | 1 | 3 |
12 | 55 | 273 |
 |  |
| 1 | 1 | 5 | 28 | 165 | | | | |
| 2 | 2 | 21 | 180 | | | | | |
| 3 | 5 | 84 | | | | | | |
| 4 | 14 | | | | | | | |
| 5 | 42 | | | | | | | |
 |  |
| | | | | | |
| p |  | | | | | | | |
De rest van de tabel voldoet aan:
| Aantal vierhoeken --> |
0 | 1 | 2 |
3 | 4 | 5 |
 | q |
| Aantal driehoeken |
| 0 | 1 | 1 | 3 |
12 | 55 | 273 |
 |  |
| 1 | 1 | 5 | 28 |
165 | 1001 | 6188 |
 |  |
| 2 | 2 | 21 | 180 |
1430 | 10920 | 81396 |
 |
| 3 | 5 | 84 | 990 |
10010 | 92820 | 813960 |
 |
| 4 | 14 | 330 | 5005 |
61880 | 678300 | 6864396 |
 |
| 5 | 42 | 1287 | 24024 |
352716 | 4476780 | 51482970 |
 |
 |  |
 |  |
 |  |
 |  |
| p |  |  |
 |
Voor q = 0 gaat vergelijking (3) over in vergelijking (1), de
Catalan-getallen:
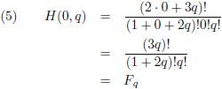
En voor p = 0 gaat vergelijking (3) over in vergelijking (2), de
Fuss-getallen:
Vergelijking (3) bestrijkt dus de gehele bovenstaande tabel.
De variatie die ik kan aanbrengen in het verdelen van een polygon in subpolygonen is natuurlijk eindeloos,
want ik kan bijvoorbeeld een zeshoek verdelen in een driehoek en een vijfhoek.
Figuur 14
De zeshoek is op zes manieren te verdelen
in een driehoek en een vijfhoek
Een zevenhoek kan ik verdelen in een driehoek en een zeshoek.
Figuur 15
De zevenhoek is op zeven manieren te verdelen
in een driehoek en een zeshoek
Een tienhoek, een decagon, kan ik verdelen in één driehoek, twee vierhoeken en een vijfhoek (en ik ga niet alle
verschillende manieren laten zien, want dat loopt helemaal uit de hand).
Figuur 16
De tienhoek is op vele manieren te verdelen
in een driehoek, twee vierhoeken en een vijfhoek
Het aantal verschillende manieren kan ik uitrekenen volgens de algemene formule (hierin h
3 het
aantal driehoeken, h
4 het aantal vierhoeken, h
5 het aantal vijfhoeken, enzovoort):
Het aantal manieren waarop ik een polygon kan verdelen in een driehoek en een vijfhoek is (zie figuur 14):
Het aantal manieren waarop ik een polygon kan verdelen in een driehoek en een zeshoek is (zie figuur 15):
Het aantal manieren waarop ik een polygon kan verdelen in een driehoek, twee vierhoeken en een vijfhoek is (zie figuur 16):
Het was een verstandig besluit om die niet allemaal uit te tekenen...
Vergelijking (6) staat nu (meestal) in de boeken als de
hyper-Catalan-getallen:
Indien alle h-parameters nul zijn behalve h
3 en h
4 dan gaat vergelijking (6) over in vergelijking (3).
Indien alle h-parameters nul zijn behalve h
3 dan gaat vergelijking (6) over in vergelijking (1) en
wanneer alle h-parameters nul zijn behalve h
4 dan gaat vergelijking (6) over in vergelijking (2).