Het magnetische veld van een lange rechte geleider
Bereken het magnetische veld rondom een lange rechte stroomvoerende geleider.
Ga uit van een vacuüm omgeving.
Stel ik heb een rechte geleider met lengte l waar een stroom i doorheen loopt:

Figuur 1
Ik kies een willekeurig punt P:

Figuur 2
Vervolgens bepaal ik de bijdrage van een willekeurig infinitesimaal stukje van de stroomvoerende geleider, dat stukje noem ik dl,
aan het magnetische veld in het punt P.
Ik kies een stukje dl en ik geef gelijk wat afstanden en hoeken aan:

Figuur 3
De bijdrage van de stroom i door het stukje dl aan het magnetische veld H in P is (in vectornotatie):
Het kruisje in bovenstaande vergelijking geeft het
uitwendig product aan:
Hierin is n een eenheidsvector die zowel loodrecht op
A als
B staat en φ is de hoek die door de vectoren ingesloten wordt.
Vergelijking (1) kan ik omschrijven als volgt (en omdat
r een eenheidsvector is, is de grootte één en hoef ik
die niet meer mee te slepen):
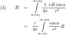
Vervolgens ga ik
integreren over de totale lengte van de geleider
om het veld in P te bepalen:
In figuur 3 zie ik dat:
Omdat:
Ik kan dl dus vinden door (5) te
differentiëren:
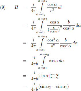
En dit resultaat plus vergelijking (6) vul ik in in vergelijking (4):
We gaan uit van een lange draad en dan zijn α
1 en α
2 bij goede benadering −π/2 respectievelijk π/2.
Zo bereiken we het antwoord:
Omdat we uit gaan van een vacuüm omgeving kan ik ook schrijven:
Om de geleider bevinden zich veldlijnen die zowel loodrecht op de stroomrichting als de afstand tot de draad staan:

Figuur 4
De sterkte van het veld is evenredig met de stroomsterkte en omgekeerd evenredig met de afstand tot de geleider.