De integralen van
f (x) = xn ∙ 1/(a2 + x2)3/2
Trefwoorden/keywords: integraal/integral, integreren/integrate, f (x) = xn ∙ 1/(a2 + x2)3/2

De grafiek van f (x) = 1/(1 + x2)3/2 (de rode lijn), f (x) = x/(1 + x2)3/2 (de oranje lijn),
f (x) = x2/(1 + x2)3/2 (de groene lijn), f (x) = x3/(1 + x2)3/2 (de paarse lijn)
en f (x) = x4/(1 + x2)3/2 (de blauwe lijn)
Integrand![]() |
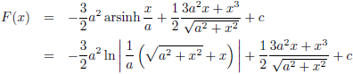
Primitieve | ||
![]() |
![]() ![]() |
![]() ![]() |
Toon uitwerking |
![]() |
![]() ![]() |
![]() ![]() |
Toon uitwerking |
![]() |
![]() ![]() |
![]() ![]() |
Toon uitwerking |
![]() |
![]() ![]() |
![]() ![]() |
Toon uitwerking |
![]() |
![]() ![]() |
![]() ![]() |
Toon uitwerking |


























Naar de volgende tabel: de integralen van
Naar de vorige tabel: de integralen van
Tabel met integralen
Differentiëren
Integreren
De integraal van
De integraal van
De integraal van
De integraal van
De integralen van
De integralen van
Vectoren
Vectoren, vraagstuk 40
Vectoren, vraagstuk 85
Taylor-reeksen
De Taylor-reeks van
De Taylor-reeksen van
De stelling van Green
Holomorfie van de functie
Integreren van complexe functies
Uitleg artikel algemene relativiteitstheorie: paragraaf 12
Wat is geodetisch?
De baan van een baksteen bij een zwart gat
De posities van de Lagrange-punten
Gravitationele rood-/blauwverschuiving
Getijdenkrachten
Zijn wij vroeg of laat?
De Einstein-Rosen-brug
De invaltijd van een baksteen die in een zwart gat valt
De buitenkant van een wormgat
De integraal van
De astroïde
Het waarneembare universum
Wat is een wormgat?
Overzichtspagina wiskunde
Overzichtspagina natuurkunde
Overzichtspagina filosofie
Doneer enkele euro’s
Wetenschappelijke boeken te koop
Lezingen