De Taylor-reeks van
f (x) = bax
Trefwoorden/keywords: Taylor-reeks/Taylor series, f (x) = bax

De grafiek van f (x) = b
ax voor a = 0.95 (de rode lijn),
a = 1.00 (de groene lijn) en a = 1.05 (de blauwe lijn), b = 2
Om te beginnen ga ik eerst vijf
afgeleiden bepalen:
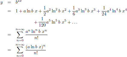
Vervolgens ga ik bij de functie en zijn
afgeleiden
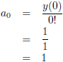
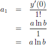
de y-waarde bepalen voor x = 0:
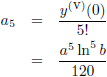
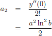
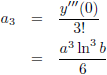
De polynoom-coëfficiënten worden dan:
De regelmaat hierin is:
Hetgeen ons brengt bij deze reeks:
Het is belangrijk om te kijken naar de
convergentie
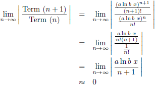
van deze reeks, want indien de reeks divergeert dan hebben we er niets aan.
De belangrijkste voorwaarde voor
convergentie
is indien de termen uitdoven als het ware, dus als een term voor grote waarden van n kleiner is dan de
voorgaande term (in
absolute waarden
gesproken uiteraard):
Voor deze reeks ziet dat er als volgt uit:
Deze reeks
convergeert dus altijd, maar daar hoort
wel een kanttekening bij.
Het uitdoven van de termen begint namelijk pas wanneer n + 1 > | a ln b x |, oftewel n > | a ln b x | − 1.
Voor grote waarden van | x | kan het dus gebeuren dat er heel wat termen meegenomen moeten worden.

De grafiek van f (x) met daaroverheen de Taylor-reeks voor a = 0.95 (de oranje lijn),
a = 1.00 (de paarse lijn) en a = 1.05 (de grijze lijn),
100 termen meegenomen