Vectoren, vraagstuk 87
Het oppervlak S is het deel van het boloppervlak waarvoor geldt:
S is georiënteerd volgens de naar de oorsprong gerichte normaal.
Bereken:
Als:
Bereken:
-
Voor een bol geldt in zijn algemeenheid:
Het vectorveld vWaaruit we de conclusie kunnen trekken:
Omdat we te maken hebben met een bol ligt het voor de hand om over te gaan op bolcoördinaten:
Een parametrisering voor S wordt dan:

Door partieel te differentiëren verkrijg ik twee richtingsvectoren aan het oppervlak:
Door het uitwendig product te nemen van deze twee partiële afgeleiden kan ik de vector dA bepalen. En de volgorde is belangrijk want dA moet naar de oorsprong wijzen:
En de laatste twee regels heb ik toegevoegd om te laten zien dat dA inderdaad naar de oorsprong wijst. Nu ga ik de rotatie van het vectorveld bepalen.
kennen we als volgt:
Dan wordt het uitwendig product
× v:
Uit de parametrisering van S kan ik x, y en z aflezen en daarmee de rotatie schrijven als:
Vervolgens bereken ik het inwendig product van de rotatie met dA:
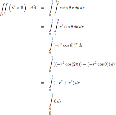
Dan wordt de integraal:
Kan dit ook slimmer (en dus gemakkelijker)? Volgens meneer Stokes geldt de stelling van Stokes:
Hierin is k de kromme die de rand vormt van het oppervlak S en ik mag ook ieder ander oppervlak kiezen, als dat andere oppervlak maar wel dezelfde rand heeft. Ik kan ook een cirkelschijf in het x-y-vlak kiezen. Dat is ‘lekker plat’ en werkt waarschijnlijk veel prettiger dan een boloppervlak. De parametrisering van een cirkelschijf C is:
Door partieel te differentiëren verkrijg ik twee richtingsvectoren aan het oppervlak:
Door het uitwendig product te nemen van deze twee partiële afgeleiden kan ik de vector dA bepalen. En de volgorde is belangrijk want dA moet naar de oorsprong wijzen:
De rotatie van het vectorveld heb ik al berekend dus ik ga gelijk door naar de berekening van het inwendig product van de rotatie met dA:
Hetgeen de simpele integraal (en hetzelfde antwoord) oplevert:
-
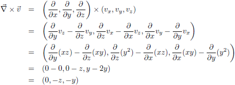
Dat ging hiervoor wel gemakkelijker met het oppervlak van de cirkelschijf in plaats van de bol dus dat ga ik nu weer doen. Eerst bepaal ik nu de rotatie van het vectorveld:
Het vectorveld vHet inwendig product van de rotatie met dA wordt:
Om lastige wortels te vermijden ga ik over naar poolcoördinaten (of cilindercoördinaten waarbij z = 0, het is maar net hoe je het wilt zien):
De overgang naar poolcoördinaten introduceert een extra r (indien ik direct aan het begin al overgegaan was naar poolcoördinaten dan was deze r er ‘vanzelf’ ingekomen):
De integraal wordt dan:
Wederom geen spectaculair antwoord, maar ook niet veel werk!
-
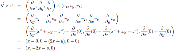
Ik kies als oppervlak weer de cirkelschijf in plaats van de bol. De eerste stap is de rotatie van het vectorveld:
Het vectorveld vHet inwendig product van de rotatie met dA wordt:
Om wortels uit de weg te gaan ga ik over naar poolcoördinaten waarbij ik weer moet denken aan de extra r:
De integraal wordt dan:

Door naar het volgende vraagstuk: vectoren, vraagstuk 88
Terug naar het vorige vraagstuk: vectoren, vraagstuk 86
Overzichtspagina met vraagstukken
Vraagstukken xref voor de UT
De integraal van
De integraal van
De integraal van
De integraal van
De integralen van
De integralen van
Vectoren
Vectoren, vraagstuk 37
Vectoren, vraagstuk 82
Taylor-reeksen
De Taylor-reeks van
De Taylor-reeksen van
De stelling van Green
Holomorfie van de functie
Integreren van complexe functies
Uitleg artikel algemene relativiteitstheorie: paragraaf 9
De relativistische bewegingsvergelijkingen
De versnelling van een baksteen die in een zwart gat valt
Fotogallerij
Oplossing voor de elektromagnetische potentialen
Gravitationele rood-/blauwverschuiving
Getijdenkrachten
Zijn wij vroeg of laat?
De Einstein-Rosen-brug
De invaltijd van een baksteen die in een zwart gat valt
De buitenkant van een wormgat
De integraal van
De astroïde
Het waarneembare universum
Wat is een wormgat?
Overzichtspagina wiskunde
Overzichtspagina natuurkunde
Overzichtspagina filosofie
Doneer enkele euro’s
Wetenschappelijke boeken te koop
Lezingen