Relativistische afleiding van de formule van Heaviside

Leid de formule van Heaviside af door enkel en alleen gebruik te maken van relativistische transformaties en de wet van De Coulomb.
Dit vraagstuk is een inkoppertje, want op deze pagina heb ik laten zien, door nauwgezet alle relativistische transformaties te gebruiken (in alfabetische volgorde: voor impuls, kracht, massa, positie, snelheid, tijd en versnelling), dat het magnetisme automatisch komt bovendrijven als relativistisch bijverschijnsel van elektriciteit.

De Coulomb

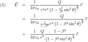
Ik begon met de wet van De Coulomb voor het elektrische veld van een lading Q (die feitelijk geldt ‘in rust’, of beter gezegd: voor een waarnemer die met de lading Q meebeweegt):

De lading Q bevindt zich in de oorsprong van het S'-stelsel:
Wanneer waarnemer en lading een onderlinge snelheid v hebben wordt dit voor een waarnemer in het S-stelsel (zie deze pagina):
Hierin is θ de hoek tussen de richting van de snelheid en de positievector naar het punt P waar we het veld willen weten:
En γ is:

Hiermee ga ik vergelijking (2) iets anders opschrijven:
Door nog even een blik te werpen op de wet van De Coulomb kan ik ook schrijven:
Oftewel:

Heaviside

Zoals ik al zei, dit is een inkoppertje want vergelijking (7) is de gezochte formule van Heaviside. Ik maak hier even een plaatje van, horizontaal is θ uitgezet (van 0 tot 180 graden) en ik laat β in stapjes van 0.001 oplopen tot 0.02 (= 6000 km/s!). Je ziet dat de functie dan amper afwijkt van één.

Pas wanneer de snelheid in de buurt komt van de lichtsnelheid gaat er iets gebeuren. In onderstaand plaatje loopt β in stapjes van 0.05 op tot 0.95:

Lorentz

De enige twee uitgangspunten die ik op deze relativistische route heb gebruikt zijn:

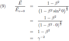
Merk op dat voor θ = π/2 de Lorentz-factor overblijft:
En voor θ = 0 resteert 1/(de Lorentz-factor in het kwadraat):
Voor v = 0 geven zowel vergelijking (8) als vergelijking (9) het resultaat één, oftewel de wet van De Coulomb (= de statische situatie). Voor v nadert naar c daarentegen nadert vergelijking (8) naar oneindig en vergelijking (9) naar nul. Met andere woorden, het veld heeft dan alleen nog maar componenten loodrecht op de bewegingsrichting en de componenten (anti)parallel aan de bewegingsrichting gaan naar nul: lengtecontractie. Voor lage snelheden blijft het veld (nagenoeg) perfect radiaal symmetrisch volgens de wet van De Coulomb:
Voor hoge snelheden krijgt het veld de vorm van een ellips:

Einstein

Maxwell

Heaviside kwam met zijn formule ruim twintig jaar voordat Einstein zijn speciale relativiteitstheorie publiceerde, oftewel Heaviside had nog helemaal geen beschikking over relativistische vergelijkingen en werkte met alleen maar klassieke elektromagnetische wetten (de wetten van Maxwell) naar zijn formule toe. Een opmerkelijk resultaat! Hoe dat precies in zijn werk gaat vind je op deze pagina.