De transformatievergelijkingen voor impuls

Wat zijn de relativistische transformatievergelijkingen voor impuls?
Stel, ik heb een systeem P en ten opzichte van dat systeem beweegt een deeltje met een snelheid u. De impuls van het deeltje is dan:
Of uitgeschreven in componenten:


Zoals E = mc2 ons leert is massa afhankelijk van snelheid:
Hiermee worden de vergelijkingen (2):


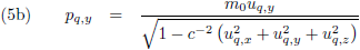
Door alle indices p te veranderen in q krijg ik de vergelijkingen voor de impuls van het deeltje, maar dan zoals waargenomen vanuit het systeem Q:


En deze pagina leerde ons de transformatievergelijkingen voor snelheden (waargenomen vanuit een systeem Q dat met een constante snelheid v beweegt ten opzichte van het systeem P in de richting van x):


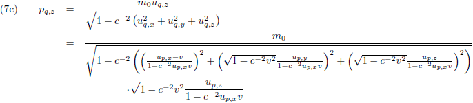
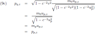
We vinden de impuls van het deeltje, waargenomen vanuit het systeem Q maar uitgedrukt in de parameters van het systeem P, door ‘simpelweg’ de vergelijkingen (6) in te vullen in de vergelijkingen (5):


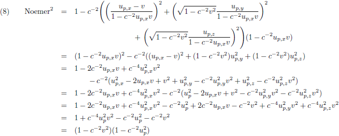
De vergelijkingen (7) hebben alledrie dezelfde noemer en die werk ik even apart uit:
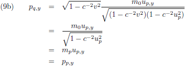
Zodat de vergelijkingen (7) uiteindelijk worden:


Kortweg zijn de transformatievergelijkingen voor impuls dus als volgt: