Afleiding van E = mc2
Leid ’s werelds beroemdste formule af: E = mc2.
(Credits voor de achtergrondfoto: NASA)
We gaan op weg naar de beroemdste formule van de wereld:
Daarvoor hebben we wat gereedschap nodig.
Ik pak de Lorentz-transformaties erbij voor twee stelsels,
P en Q, die met een snelheid v ten opzichte van elkaar bewegen:
Van daaruit kun je formules opstellen voor het relativistisch
optellen van snelheden.
Oftewel, wat voor een waarnemer in het Q-stelsel de snelheid is van iets dat zich binnen het P-stelsel in de x-richting voortbeweegt,
terwijl beide stelsels met een snelheid v ten opzichte van elkaar bewegen (ook in de x-richting), en vice versa:
Deze vergelijkingen hebben we onderweg nodig.
Wat we verder nog nodig hebben zijn de
behoudswetten.
We kennen bijvoorbeeld de
wet van behoud van energie.
Indien je een bepaald proces beschouwt, zoals een chemische reactie, dan zal alle energie
voor de reactie gelijk moeten zijn
aan de energie
na de reactie.
Er kan niet zomaar energie verdwijnen of energie vanuit het niets ontstaan, energie blijft altijd
behouden.
Energie kent wel verschillende verschijningsvormen zoals
kinetische energie (bewegingsenergie) of thermische energie (warmte),
maar de som van alle energieën moet altijd gelijk zijn
Er lekt niets weg en er ontstaat niet zomaar energie.
Behoudswetten zijn de hoekstenen van de wetenschap, ze vormen het wetenschappelijk houvast.
Naast de wet van behoud van energie is er ook de
wet van behoud van impuls.
Impuls (p) is het product van massa en snelheid:
Hiervan maken biljartspelers intensief gebruik.
De stoot (impuls) van de biljartstok wordt overgedragen op de bal die gestoot wordt en deze
geeft op zijn beurt de impuls door aan de ballen waar hij onderweg tegenaan botst.

De wet van behoud van impuls in de praktijk
We gaan nu de stap maken naar de wet die iedereen kan opdreunen: E = mc
2.
Om dit goed te doen vanuit basisprincipes vereist enige tijd stevig doorrekenen en dat gaan we nu doen.
We beschouwen de botsing van twee ballen.
De z-as heb ik er niet bij getekend in bovenstaande figuur, die staat loodrecht op het scherm.
Deze twee ballen B
1 en B
2 zijn exact gelijk aan elkaar en ze ondervinden geen wrijving.
Tevens is de botsing volkomen elastisch dus tijdens de botsing wordt er geen bewegingsenergie omgezet naar warmte of blijvende
vervorming van de ballen (er gaat geen bewegingsenergie verloren).
Verder naderen ze elkaar onder een hoek φ met de x-as en ze treffen elkaar
zo dat ze zich ook weer onder een hoek φ met de x-as van elkaar verwijderen.
Afgezien van het teken geldt voor deze ballen:
Er geldt bovendien (zowel voor als na de botsing):
Ik stel v
x,1 = a, zowel voor als na de botsing, en dus is v
x,2 = −a.
Voor de botsing stel ik v
y,1 = b en na de botsing is v
y,1 = −b.
Voor de andere bal geldt daarom voor de botsing v
y,2 = −b en na de botsing is v
y,2 = b.
De snelheden v
z,1 en v
z,2 zijn in alle gevallen gelijk aan nul en daarom laat ik die vanaf nu buiten beschouwing.
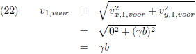
Ik introduceer nu een extra waarnemer W
2 (de lezer van dit verhaal is W
1)
en deze waarnemer beweegt zich evenwijdig aan de x-as met een snelheid v
x,1.
Hij ziet de bal B
1 daarom enkel in de y-richting bewegen, waarbij alleen het
teken van de snelheid verandert voor en na de botsing.
De vergelijkingen (3) ga ik gebruiken om de snelheden van de ballen te berekenen zoals W
2 dit waarneemt (waarbij W
1
het Q-stelsel bewoont is en W
2 het P-stelsel).
Allereerst voor de botsing, de snelheid van B
1 in de x-richting:
Voor de botsing, de snelheid van B
1 in de y-richting:
Voor de botsing, de snelheid van B
2 in de x-richting:
En als laatste, voor de botsing, de snelheid van B
2 in de y-richting:
Hiermee kan ik de impuls bepalen voor de botsing, in de x-richting:
En in de y-richting:
Nu ga ik de snelheden bepalen na de botsing zoals waargenomen door W
2.
Allereerst weer de snelheid van B
1 in de x-richting:
Na de botsing, de snelheid van B
1 in de y-richting:
Na de botsing, de snelheid van B
2 in de x-richting:
En wederom als laatste, na de botsing, de snelheid van B
2 in de y-richting:
Hiermee kan ik de impuls bepalen na de botsing, in de x-richting:
En in de y-richting:
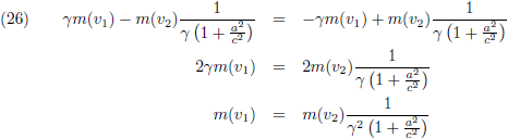
De wet van behoud van impuls schrijft voor dat impuls behouden blijft, dus de impuls in
de x-richting moet voor en na de botsing gelijk zijn:
Dit klopt precies, geen vuiltje aan de lucht.
Nu bekijken we de impuls in de y-richting:
En dit klopt alleen indien a = 0 en dat is overduidelijk niet het geval.
Ik heb hierboven de massa m uitgedeeld alsof dat een constante is maar kennelijk ben ik daarmee een beetje te voorbarig geweest.
De ronduit schokkende conclusie moet zijn dat de massa afhankelijk is van de snelheid!
Laat ik de massa m daarom maar weer snel terug plaatsen in de vergelijking (20):
Ik ga die snelheden v
1 en v
2 maar eens uitrekenen:
Dit maakt duidelijk dat de snelheden van beide ballen voor en na de botsing gelijk zijn (in grootte, niet in richting!).
Dan kan ik de impulsvergelijking (21) ook schrijven als:
Oftewel:
De volgende stap is dat ik de limiet neem, ik laat de snelheid b naar nul naderen en kijk wat er dan met v
1 en v
2 gebeurt:
De snelheid v
1 wordt nul, dus dan is m (v
1) de massa bij snelheid nul: de
rustmassa m
0.
En omdat v
1 = 0 noem ik v
2 vanaf nu v.
Ik heb nu v
2 als functie van a (vergelijking (29)), maar om verder te komen heb ik de inverse relatie nodig.
Dat wordt even knutselen (waarbij ik gebruik maak van de
abc-formule om deze
tweedegraads vergelijking op te lossen):
En dit alles vul ik in in vergelijking (27):
Dit ga ik uitsplitsen, de eerste mogelijkheid is:
Hierbij stuiten we op een negatieve massa en daarom sluit ik deze oplossing uit.
De tweede mogelijkheid is:
Zo komen we tot het spectaculaire resultaat:
Nu kunnen we aan de allerlaatste etappe beginnen.
Volgens Newton zorgt een kracht F voor een versnelling a:
Deze wet is zoals we het allemaal leren op het middelbaar onderwijs.
En versnelling is snelheidsverandering per tijdseenheid:
Zolang massa constant is klopt dit, maar zoals we net geleerd hebben is massa afhankelijk van de snelheid.
Daarom moeten we kracht als volgt definiëren:
Wat wel grappig is om op te merken is dat Newton zijn krachtwet oorspronkelijk in deze vorm geformuleerd heeft,
wellicht had hij een zeer vooruitziende blik...
Indien je iets in beweging brengt door er een kracht op uit te oefenen dan verricht je een beetje arbeid voor
ieder stukje dat je vooruit komt:
Waarin ds het stukje afgelegde weg is.
Deze arbeid moet ingebracht worden als energie:
De totale energie is de som van alle beetjes dE, daarom gaan we
integreren:
Oftewel:
Hierin is de linkerterm van het rechterlid de energie die wordt vertegenwoordigd door de rustmassa, de rechterterm is de
kinetische energie
(
kinetische energie is bewegingsenergie en die wordt nul indien
je niet beweegt, dus indien v = 0) en het linkerlid vertegenwoordigt de totale energie van iets dat in beweging is.
Zo kom je aan 's werelds beroemdste formule, de formule van Einstein:
Hierbij wil ik even aantekenen dat de bovenstaande afleiding
niet de afleiding is die Einstein gevolgd heeft, hij deed het
op een heel andere manier (zie daarvoor
deze pagina waar het artikel van
Einstein tot in detail gevolgd wordt).
Dit complementeert ons relativistische rijtje:
Nu denk je mogelijk: “goh, ik heb vroeger iets heel anders geleerd voor de
kinetische energie van een voorwerp”:
Terwijl vergelijking (40) aangeeft:
Ik ga vergelijking (45) even wat uitgebreider opschrijven:
Vervolgens ga ik ervanuit dat de snelheid v veel kleiner is dan de lichtsnelheid c (zoals doorgaans het geval is):
De bekende vergelijking (44) blijkt dus slechts een benadering te zijn van Einstein’s formule in het geval van niet-relativistische snelheden!
Dat kan ik ook op een overtuigender manier laten zien.
In de tabel met Taylor-reeksen vinden we:
Hiermee kan ik vergelijking (46) ook schrijven als volgt:
Merk op dat de eerste term gelijk is aan de klassieke berekening en alle volgende termen zijn relativistische bijdragen
(die pas significant worden wanneer v in de buurt komt van c):
Kinetische energie als functie van v/c voor m
0 = 1 kg,
klassiek (de rode lijn) en relativistisch (de groene lijn)

Ontploffing van de atoombom boven Nagasaki
Vaak wordt gesuggereerd dat Einstein met zijn formule E = mc2 aan de wieg heeft gestaan van de atoombom en niet zelden wordt
de lijn nog even kort-door-de-bocht-doorgetrokken en plaatst men Einstein in de hoek oorlogsmisdadigers en verwante fraaie types.
Het klopt dat in een atoombom massa wordt omgezet in energie zoals de formule van Einstein aangeeft, maar in een atoombom maakt men tevens
elektrische krachten vrij.
Met hetzelfde gemak kan ik daarom ook de mannen die de wetten van het elektromagnetisme hebben opgesteld de schuld geven van het ontstaan
van de atoombom en de gevolgen daarvan.
Ik kan helemaal teruggaan naar de oude Grieken die voor het eerst het verschijnsel statische elektriciteit beschreven, zijn zij dan indirect
de hoofdschuldigen voor de atoombom?
Daarnaast kent een theoretische ontdekking vele kanten.
Is iemand die een theoretische ontdekking doet ook verantwoordelijk voor de praktische gevolgen?
Zijn de ontdekkers van het elektromagnetisme ook verantwoordelijk voor het bestaan van elektrische stoelen en
onze verslaving aan elektronische apparatuur zoals computers, smartphones en televisies?
De mensheid heeft in haar korte bestaan talloze ontdekkingen gedaan met vele positieve gevolgen en nog veel meer negatieve gevolgen (naar mijn mening).
Door de uitvinding van (bijvoorbeeld) de automobiel en (bijvoorbeeld) de elektrische fiets is de Westerse mens steeds minder gaan bewegen,
waardoor heel veel seniore mensen tegenwoordig niet meer in staat zijn om zich een aantal kilometers op eigen kracht voort te bewegen en de
meeste bejaarden komen helemaal niet meer van hun plaats zonder hulpmiddelen zoals rollators.
Verder is het zo dat een automobiel giftige gassen uitstoot en we tijdens het autorijden dus ook nog Auschwitzje aan het ‘spelen’ zijn.
Sorry, maar daar kun je helemaal niemand anders de schuld voor geven, dat doe je toch echt helemaal zelf.
Jij kiest er zelf voor om te gaan autorijden.
Iemand wordt niet doodgereden door een auto, maar door diegene die achter het stuur zit.
Iemand wordt niet om het leven gebracht door een geweerkogel, maar door diegene die de trekker overhaalt.
Jij bent degene die leeft en jij bent degene die doodt.
Dat kun je niet afschuiven, jij maakt de keuze!
Op
deze pagina geef ik voorbeelden van E = mc
2 in ons dagelijks leven.