Vectoren, vraagstuk 58
Het oppervlak S is de grafiek van de functie f gegeven door:
Waarbij:


- Geef een parametrisering van S.
- Bepaal in ieder punt van S de naar boven gerichte eenheidsnormaal n op S.

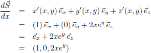
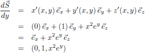
De grafiek van f (x, y) = x2 ey
-
Geef een parametrisering van S.
Hier zijn niet veel woorden aan vuil te maken:
-
Bepaal in ieder punt van S de naar boven gerichte eenheidsnormaal n op S.
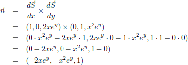
Ik bepaal eerst de partiële afgeleiden:Ik verkrijg een normaalvector op het vlak S door het uitwendig product te nemen van deze twee vectoren:
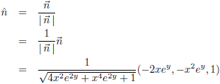
En daar neem ik de grootte (= norm) van:
De eenheidsnormaalvector wordt dan:
En de z-component = 1, dus altijd positief, dus de eenheidsnormaalvector is altijd naar boven gericht.
Door naar het volgende vraagstuk: vectoren, vraagstuk 59
Terug naar het vorige vraagstuk: vectoren, vraagstuk 57
Overzichtspagina met vraagstukken
Vraagstukken xref voor de UT
De integraal van
De integraal van
De integraal van
De integraal van
De integralen van
De integralen van
Vectoren, vraagstuk 26
Vectoren, vraagstuk 71
De covariante metrische tensor naar contravariant en vice versa
De Taylor-reeks van
Tabellen met Taylor-reeksen
Het touw om de Maan
Complexe getallen
Holomorfie van de functie
Uitleg artikel algemene relativiteitstheorie: voorpagina
Het optellen van snelheden
De Ricci-tensor van de Schwarzschild-metriek
Astronomie
Elektriciteit en magnetisme
De illusies die wij leven
Gravitationele rood-/blauwverschuiving
Getijdenkrachten
Zijn wij vroeg of laat?
De Einstein-Rosen-brug
De invaltijd van een baksteen die in een zwart gat valt
De buitenkant van een wormgat
De integraal van
De astroïde
Het waarneembare universum
Wat is een wormgat?
Overzichtspagina wiskunde
Overzichtspagina natuurkunde
Overzichtspagina filosofie
Doneer enkele euro’s
Wetenschappelijke boeken te koop
Lezingen