Vectoren, vraagstuk 59
Gegeven de functie f (die G afbeeldt):
Waarbij G een cirkelschijf met straal a > 0 en de oorsprong als middelpunt is.
- Maak een parametrisering van S.
- Bereken de oppervlakte van S.

De grafiek van f (x, y) = x2 − y2
-
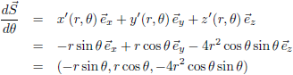
Maak een parametrisering van S.
De simpelste parametrisering is:Maar door te stellen dat:
Dan kunnen we voor S ook schrijven:

Of nog iets anders opgeschreven:


-
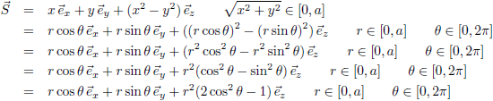
Bereken de oppervlakte van S.
Ik bepaal eerst de partiële afgeleiden:Vervolgens neem ik het uitwendig product van deze twee vectoren:
En daar neem ik de grootte (= norm) van:
De oppervlakte van S wordt dan:
Door naar het volgende vraagstuk: vectoren, vraagstuk 60
Terug naar het vorige vraagstuk: vectoren, vraagstuk 58
Overzichtspagina met vraagstukken
Vraagstukken xref voor de UT
De integraal van
De integraal van
De integraal van
De integraal van
De integralen van
Vectoren, vraagstuk 45
Vectoren, vraagstuk 90
Taylor-reeksen
De Taylor-reeks van
De convergentie van een reeks
Bijzondere figuren
Holomorfie van de functie
Integreren van complexe functies
Uitleg artikel algemene relativiteitstheorie: paragraaf 17
Stabiliteit van cirkelvormige banen om een centrale massa
Afleiding van de Unruh-temperatuur
Het traagheidsmoment van een homogene ronde ster
De energie in een condensator
De illusie van de barracuda
Gravitationele rood-/blauwverschuiving
Getijdenkrachten
Zijn wij vroeg of laat?
De Einstein-Rosen-brug
De invaltijd van een baksteen die in een zwart gat valt
De buitenkant van een wormgat
De integraal van
De astroïde
Het waarneembare universum
Wat is een wormgat?
Overzichtspagina wiskunde
Overzichtspagina natuurkunde
Overzichtspagina filosofie
Doneer enkele euro’s
Wetenschappelijke boeken te koop
Lezingen