Vectoren, vraagstuk 60
Teken de grafieken van de in poolcoördinaten gegeven functies:
-
Na wat staren en nadenken lijkt zoiets wellicht het resultaat te worden:
Maar omdat de sinus tussen π en 2π negatief is en r (= de afstand tot de oorsprong) per definitie positief is kan het deel onder de horizontale as niet bestaan:
Klopt, dit is allemaal niet zo één-twee-drie te zien en vergt vaak het nodige gepuzzel. Een mogelijkheid om de situatie inzichtelijker te maken is om de functie om te schrijven van poolcoördinaten naar ‘normale’ Cartesische coördinaten. Van poolcoördinaten naar Cartesische coördinaten gaat als volgt:
Daarnaast moeten we die sinus schrijven als een functie van de tangens:
Het omschrijven levert dan dit resultaat op (waarbij ik onderweg gebruik maak van de abc-formule om de tweedegraads vergelijking op te lossen):
Dit is inderdaad de vergelijking van een cirkel. Ik kan daar met Excel een plaatje van maken:
Dit komt (uiteraard) overeen met het plaatje hierboven, dus helemaal goed. Het is wel opletten dat je tijdens het omschrijven zicht houdt op de plussen en minnen, want door onderweg te kwadrateren en/of wortels te trekken kun je gemakkelijk oplossingen creëren die er helemaal niet zijn of oplossingen laten verdwijnen die er juist wel zijn. Met Python kun je rechtstreeks een geparametriseerde grafiek tekenen, en dat levert dan in een handomdraai dit plaatje op:
De oplossingen voor + (de rode lijn) en − (de groene lijn)
De grafiek van r = sin t -
Omdat r nu wel bestaat voor alle waarden van sinus t wordt de grafiek:
Ik had het net nog over het omschrijven naar Cartesische coördinaten en dat je wel zicht moet houden op de plussen en minnen, omdat er mogelijk onderweg oplossingen bijkomen of verdwijnen. Dit is zo’n voorbeeld, want die cirkel onder de x-as komt niet uit de Cartesische-coördinaten-vergelijking naar voren terwijl die er wel is. Met Python krijg ik direct het juiste plaatje:

De grafiek van r = | sin t | -
De sinus wordt nu tweemaal zo snel doorlopen waardoor r (die per definitie positief is) in het tweede - en vierde kwadrant niet bestaat:
Ook hier kan ik een poging doen om de functie om te schrijven naar Cartesische coördinaten. De r kan ik alvast vervangen en die dubbele hoek moet ik eerst omschrijven naar enkele hoeken:
De cosinus is ook te schrijven als een functie van de tangens:
Nu kan ik verder werken:
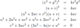
Ik stel:
Zodat ik uitkom op:
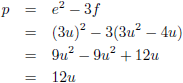
Lekker dan, een derdegraads vergelijking. Die ga ik dan maar oplossen. Ik lees af dat:
Nu kan ik p en q uitrekenen:

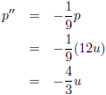
En vervolgens p'', q'' en k'':
Vervolgens ga ik terug van de variabele u naar de variabele x:

Nu kan ik de discriminant D uitrekenen:
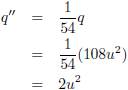
Die term x6 is uiteraard altijd positief en mijn inschatting is dat x2 altijd kleiner is dan 16/27 (kijkend naar het eerste deel van dit vraagstuk). Conclusie: de discriminant D is altijd positief en daarom heeft deze derdegraads vergelijking drie oplossingen. Nu kan ik doorgaan naar de volgende stap en de hoek θ' uitrekenen:
Vervolgens ga ik ook hier terug van de variabele u naar de variabele x:
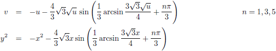
Zodat ik uiteindelijk vind als oplossingen voor v:
Voor de laatste keer ga ik terug van de variabele u naar de variabele x en van v naar y:
Oftewel:

De draakIk heb nu een draak van een vergelijking, maar gelukkig is er Excel. Dat levert het hieronderstaande plaatje op.
Zoals ik al opmerkte kan de functie in het tweede - en vierde kwadrant niet bestaan en wordt het uiteindelijke plaatje zo (ik heb een minteken toegevoegd aan de functie links van de y-as, want zoals ik al een paar keer zei: houd de plussen en de minnen in de gaten):
De oplossingen voor n = 1 (de rode lijn),
n = 3 (de groene lijn) en n = 5 (de blauwe lijn)Met Python is het uiteraard weer een fluitje van een cent en is gelijk de hoogte-breedte-verhouding goed:

De grafiek van r = sin (2t)
Door naar het volgende vraagstuk: vectoren, vraagstuk 61
Terug naar het vorige vraagstuk: vectoren, vraagstuk 59
Overzichtspagina met vraagstukken
Vraagstukken xref voor de UT
De integraal van
De integraal van
De integraal van
De integraal van
De integralen van
De integralen van
Vectoren, vraagstuk 26
Vectoren, vraagstuk 71
De covariante metrische tensor naar contravariant en vice versa
De Taylor-reeks van
Tabellen met Taylor-reeksen
Het touw om de Maan
Complexe getallen
Holomorfie van de functie
Uitleg artikel algemene relativiteitstheorie: voorpagina
Het optellen van snelheden
De Ricci-tensor van de Schwarzschild-metriek
Astronomie
Elektriciteit en magnetisme
De illusies die wij leven
Gravitationele rood-/blauwverschuiving
Getijdenkrachten
Zijn wij vroeg of laat?
De Einstein-Rosen-brug
De invaltijd van een baksteen die in een zwart gat valt
De buitenkant van een wormgat
De integraal van
De astroïde
Het waarneembare universum
Wat is een wormgat?
Overzichtspagina wiskunde
Overzichtspagina natuurkunde
Overzichtspagina filosofie
Doneer enkele euro’s
Wetenschappelijke boeken te koop
Lezingen