Vectoren, vraagstuk 7
Gevraagd de poolcoördinaten-functie f zodat de grafiek
een cirkel met straal 1 is.

Een cirkel met straal één
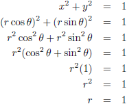
Voor een cirkel met straal 1 geldt in Cartesische coördinaten:
Om dit om te schrijven naar poolcoördinaten gebruiken we:
Dit vullen we in in de vergelijking van de cirkel:
Dit is geen wereldschokkende uitkomst, want we hebben te maken met een cirkel en die heeft inderdaad een
constante straal (onafhankelijk van de hoek θ), en in dit geval is die 1.
Dus f (θ), die de straal r beschrijft als functie van de hoek θ, is gelijk aan 1.
Daarmee wordt de vergelijking van
v: