Vectoren, vraagstuk 8
Gegeven de punten:


V is het vlak door deze drie punten.


- Bepaal een parametervoorstelling van V.
- Bepaal een vergelijking voor V.

Het vlak V
-
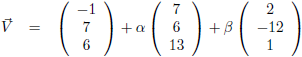
Bepaal een parametervoorstelling van V.
Als steunvector kunnen we een willekeurig punt kiezen dat in het vlak ligt, dus bijvoorbeeld u of v of w. Het maakt niet uit welke we kiezen, dus ik neem de eerste: steunvector = u (−1, 7, 6).
Dan hebben we nog twee richtingsvectoren nodig, daarvoor kunnen we kiezen uit:Het maakt niet uit welke we kiezen, dus ik neem de eerste en de tweede (waarbij ik de tweede even met −1 vermenigvuldig want dan heb ik nog maar één minteken in die vector in plaats van twee, richtingsvectoren mag ik immers met ieder willekeurig getal vermenigvuldigen zonder dat ik hun werking aantast). De parametervoorstelling van V wordt dan:

-
Bepaal een vergelijking voor V.
We hebben nu een parametervoorstelling en we willen naar een vergelijking toe, dus we moeten van die parameters α en β af. Daartoe gaan we de componenten van V uitschrijven:De laatste vergelijking van dit drietal kunnen we ook schrijven als:

Dit gaan we invullen in de vergelijkingen voor x en y:
Uit de vergelijking voor x kunnen we α distilleren:
En dit vullen we in in de vergelijking voor y, waaruit de vergelijking voor V volgt:

De grafiek van 162x + 19y − 96z = −605 (het vlak V)
Door naar het volgende vraagstuk: vectoren, vraagstuk 9
Terug naar het vorige vraagstuk: vectoren, vraagstuk 7
Overzichtspagina met vraagstukken
Vraagstukken xref voor de UT
De integraal van
De integraal van
De integraal van
De integraal van
De integraal van
De integralen van
De integralen van
Vectoren, vraagstuk 6
Vectoren, vraagstuk 51
Covariante - en contravariante componenten van een vector
Taylor-reeksen
De Taylor-reeks van
Een reeks afsplitsen van
Het getal e
Holomorfie van de functie
Relativiteitstheorie basic, hoofdstuk 1: snelheden
Uitleg artikel algemene relativiteitstheorie: paragraaf 22
De relativistische rotatie-energie van een holle bol
Het spectrum van een zwart gat
De omtrek van een planeetbaan
Gravitationele rood-/blauwverschuiving
Getijdenkrachten
Zijn wij vroeg of laat?
De Einstein-Rosen-brug
De invaltijd van een baksteen die in een zwart gat valt
De buitenkant van een wormgat
De integraal van
De astroïde
Het waarneembare universum
Wat is een wormgat?
Overzichtspagina wiskunde
Overzichtspagina natuurkunde
Overzichtspagina filosofie
Doneer enkele euro’s
Wetenschappelijke boeken te koop
Lezingen