De integraal van
f (x) = x4/(a2 − x2)1/2
Trefwoorden/keywords: integraal/integral, integreren/integrate, f (x) = x4/(a2 − x2)1/2

De grafiek van f (x) = x
4/(a
2 − x
2)
1/2 voor a = 1 (de rode lijn),
a = 2 (de groene lijn) en a = 3 (de blauwe lijn)
Voor het
integreren van deze functie maak ik gebruik van
goniometrische substitutie door sinus of cosinus:
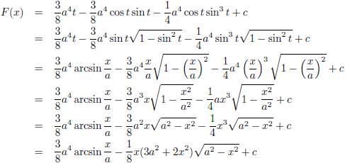
De
integraal wordt dan:
De oplossing van de
integraal
van sin
4 x kun je elders vinden in de
tabel met integralen.
Dat brengt ons bij dit tussenresultaat:
Nu moet t uiteraard weer vervangen worden door x:
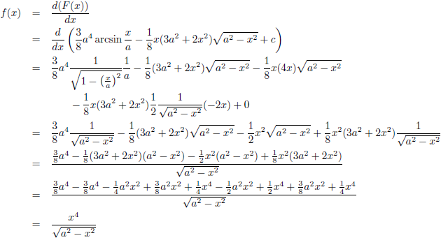
Ter controle ga ik het resultaat
differentiëren:
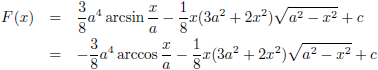
Tot slot wil ik nog opmerken dat de
afgeleiden van de
boogsinus en de
boogcosinus
slechts een minteken van elkaar verschillen en dat ik daarom de oplossing van deze
integraal ook als volgt kan opschrijven:

De grafiek van F (x) voor a = 1 (de rode lijn),
a = 2 (de groene lijn) en a = 3 (de blauwe lijn), c = 0