Invariantie van het inwendig product

Laat op verschillende manieren zien dat het inwendig product invariant is.
Dat het inwendig product invariant is wordt eigenlijk al duidelijk wanneer je naar de definitie kijkt:
Het enige dat hier in voorkomt zijn de normen (= groottes = lengtes) van de beide vectoren en de cosinus van de hoek tussen de beide vectoren. Ongeacht hoe ik mijn coördinaten aanleg, daarmee verandert er natuurlijk niets aan de normen van de vectoren en ook niets aan de hoek die ze insluiten. Ik kan vergelijking (1) iets anders opschrijven:
De term tussen haakjes is de projectie van de ene vector op de andere zoals onderstaand plaatje laat zien.
Ook hieruit blijkt geen enkele afhankelijkheid van coördinaten of assen. Met behulp van de metrische tensor g kan ik het inwendig product uitschrijven in de componenten van de beide vectoren:
Laat ik dit eens in twee dimensies uitwerken.
De covariante componenten van v zijn:

En de contravariante componenten van w zijn:

Hierin is α de hoek tussen de coördinaatassen en β is de hoek die de vector maakt met één der coördinaatassen. Het inwendig product van v en w wordt dan:
Met behulp van de som-/verschilformules uit de goniometrie wordt vergelijking (6) tenslotte:
Kijk, zo kom ik weer uit bij de definitie van het inwendig product, iedere coördinaatafhankelijkheid is eruit gevallen en dus is er invariantie.

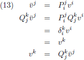
Een nog weer andere manier om te laten zien dat het inwendig product invariant is is de volgende. Stel dat ik een of andere transformatiematrix P heb die de contravariante componenten van een vector v transformeert naar een ander coördinatenstelsel:
Laat ik dat even netjes doen in tensornotatie:
Door de inverse te nemen van de transformatiematrix P, die noem ik Q, krijg ik een transformatiematrix die zorgt voor transformatie van de covariante componenten (gelijk opgeschreven in tensornotatie, en voor de afleiding waarom dit zo is zie deze pagina):
Het product van P en Q is uiteraard de eenheidsmatrix:

Kronecker

Of in tensortaal, dan kom ik uit bij de ‘eenheidstensor’, de Kronecker-delta:

De inverse relaties van de vergelijkingen (9) en (10) zijn:

Nu grijp ik terug op vergelijking (3) en daar stop ik de vergelijkingen (13) en (14) in:
Oftewel:
Op een wat abstractere manier volgt ook hieruit dat het inwendig product invariant is.

De oplettende lezer zal opmerken dat ik op deze pagina, de pagina waar ik net naar verwees, het volgende heb afgeleid voor covariante - en contravariante transformatiematrices:



Oftewel, om van de ene transformatiematrix naar de andere te komen moet ik niet alleen de inverse nemen, maar ook transponeren. En hierboven schreef ik:
Dat betekent dat Q de inverse is van P en dat ik niet getransponeerd heb. Heb ik vals gespeeld? Wat is er aan de hand? Ik keer weer terug naar vergelijking (3):
Ik vermenigvuldig hier de vectoren v en w met elkaar als volgt:
Echter, matrixtechnisch gesproken is dit alleen correct indien v een rijvector is en w een kolomvector, anders schrijf ik onzin:
Een rijvector met een matrix vermenigvuldigen geeft het volgende resultaat:
Dit geeft hetzelfde resultaat als de getransponeerde matrix (b en c wisselen van plaats) vermenigvuldigen met een kolomvector:
Ik zal dat in detail laten zien voor het inwendig product dat ik hier aan het bespreken ben. De vector v is een rijvector en die vermenigvuldig ik met de transformatiematrix P:
Q is de inverse van P:
De vector w is een kolomvector en die vermenigvuldig ik met de inverse transformatiematrix van P, zijnde Q:
Nu bereken ik het inwendig product in de nieuwe - en de oude componenten:
En daaruit blijkt nogmaals de invariantie van het inwendig product. Met andere woorden, indien ik een covariante vector als kolomvector schrijf dan heb ik stiekem getransponeerd en moet ik dat ook doen met de transformatiematrix. Een kolomvector is een getransponeerde rijvector en vice versa. Indien de transformatiematrix niet overeenkomstig meebeweegt dan wordt het een zooitje.