Afbuiging van een lichtstraal, 2e orde benadering
Bereken, uitgaande van de differentiaalvergelijking van de
geodetische lijn van een lichtstraal rondom een puntmassa,
de afbuiging van die lichtstraal (in een
tweede orde benadering).
Dit is de differentiaalvergelijking van de
geodetische lijn van een lichtstraal rondom een puntmassa
(voor de afleiding zie
deze pagina):
Hierin is u de reciproke van de radiële afstand r:
En Rs is de Schwarzschild-straal,
de horizon van een
zwart gat:
Het slechte nieuws is: er is geen exacte oplossing bekend van deze differentiaalvergelijking.
Het goede nieuws is: in de wiskunde zijn we niet voor één gat te vangen.
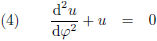
Wanneer ik in vergelijking (1) de term aan de rechterkant weglaat dan blijft dit over:
Vergelijking (4) is het newtoniaanse equivalent en de term aan de rechterkant is dus een relativistische
correctie.
Relativistische correcties zijn doorgaans (heel) klein en worden pas significant in extreme situaties
zoals bij neutronensterren en zwarte gaten.
We zien het ook aan de aanwezigheid van Rs in die term, want Rs is in ‘gewone’
gevallen heel klein zoals uit onderstaande tabel blijkt (R is de straal van het betreffende hemellichaam,
voor de gegevens van de hemellichamen zie de
tabel met fysische gegevens).
| Gerangschikt naar oplopende waarden van Rs/R |
| Hemellichaam: | Rs/R: |
 Baksteen | ≈ 0.00000000000000000000000003 = 3 ∙ 10−26 |
 Rotsblok van 100 kg, (diameter = 1 meter) | ≈ 0.0000000000000000000000003 = 3 ∙ 10−25 |
 Pluto | 0.0000000000163 = 1.63 ∙ 10−11 |
 Maan | 0.0000000000628 = 6.28 ∙ 10−11 |
 Mercurius | 0.000000000201 = 2.01 ∙ 10−10 |
 Mars | 0.000000000281 = 2.81 ∙ 10−10 |
 Venus | 0.00000000119 = 1.19 ∙ 10−9 |
 Aarde | 0.00000000139 = 1.39 ∙ 10−9 |
 Uranus | 0.00000000504 = 5.04 ∙ 10−9 |
 Neptunus | 0.00000000614 = 6.14 ∙ 10−9 |
 Saturnus | 0.0000000140 = 1.40 ∙ 10−8 |
 Jupiter | 0.0000000394 = 3.94 ∙ 10−8 |
 Canis Majoris | ≈ 0.00000005 = 5 ∙ 10−8 |
 Betelgeuse | ≈ 0.0000001 = 1 ∙ 10−7 |
 Aldebaran | ≈ 0.0000001 = 1 ∙ 10−7 |
 Zon | 0.00000425 = 4.25 ∙ 10−6 |
 Andromeda | ≈ 0.000006 = 6 ∙ 10−6 |
 Witte dwerg | ≈ 0.0005 = 5 ∙ 10−4 |
 Neutronenster | ≈ 0.5 = 5 ∙ 10−1 |
 Zwart gat | 1 = 1 ∙ 100 |
| (Credits voor de foto’s van de hemellichamen: NASA) |
De oplossing van vergelijking (4) is simpel en overbekend, dat is de
sinus, of de
cosinus, of een combinatie
van beide, dat is een kwestie van je assenstelsel roteren, maar dat maakt hier niet uit want we
hebben bolsymmetrie.
De lichtstraal komt ergens van ‘ver weg’ en de loodrechte afstand van dit begintraject tot een as precies door
het middelpunt van het hemellichaam is de
impactparameter (of in beter Nederlands:
inslagparameter) b.

b is de
impactparameter,
voor grote waarden van b gebeurt er niets,
voor b = 0 heb je een frontale botsing
Aldus kan ik als newtoniaanse oplossing of niet-relativistische oplossing of nulde orde oplossing
(net hoe je het noemen wilt) schrijven:
Merk op dat dit de vergelijking is van een rechte lijn, want in poolcoördinaten geldt:
De
sinus kan ik schrijven als
functie van de tangens:
Met al deze ingrediënten wordt vergelijking (5):
Hetgeen een perfecte horizontale rechte lijn is.

De grafiek van y = b voor b = 1 (de rode lijn),
b = 2 (de groene lijn) en b = 3 (de blauwe lijn)
Omdat de term aan de rechterkant van vergelijking (1) klein is zal het exacte antwoord maar een klein
beetje afwijken van vergelijking (5) en dus is het een goed idee om vergelijking (5) als startpunt
te nemen en vervolgens naar een nauwkeuriger antwoord toe te werken.
Op
deze pagina vond ik de eerste orde oplossing:
Vervolgens ga ik wat proberen, zoals meestal met differentiaalvergelijkingen en net als bij de eerste orde
oplossing, met een antwoord dat in de buurt ligt van vergelijking (9) door nog een stel termen toe te
voegen (met A, B, C, D, E en F als nog te bepalen parameters):
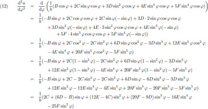
De
afgeleide hiervan is:
En de
tweede afgeleide is:
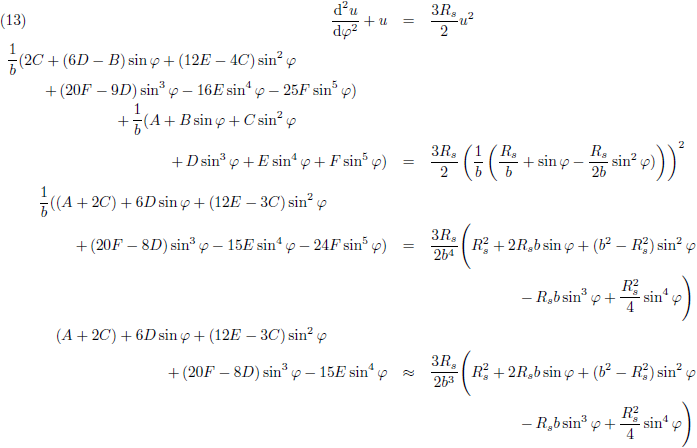
De vergelijkingen (10) en (12) vul ik in aan de linkerkant van vergelijking (1) en de eerste orde
oplossing aan de rechterkant.
De term F sin
5 laat ik in de laatste regel weg, want dat is een hogere orde term die dan niet
meer van belang is (maar de F-parameter was wel nodig om de andere parameters kloppend te krijgen).
Hieruit volgt door termen met gelijke
exponenten te vergelijken:
De waarde van B maakt uiteraard niets uit, want dat is de term die er per definitie uitvalt (de rechte lijn).
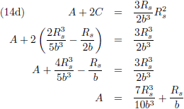
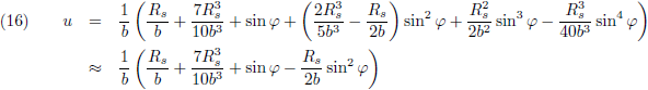
Door de gevonden waarden van A, C, D en E in te vullen (voor B vul ik simpelweg nul in) in vergelijking (10)
heb ik een nauwkeuriger antwoord gevonden (nauwkeuriger dan de eerste orde oplossing van vergelijking (9)).
Het eindresultaat is dus de combinatie van de vergelijkingen (5) en (10):
Ik weet dat φ heel klein is (en sin φ dus ook) en dat R
s/b ook heel klein is, en daarom
kan ik met een gerust hart een aantal hogere orde termen overboord zetten:
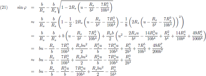
Dit ga ik wat reorganiseren:
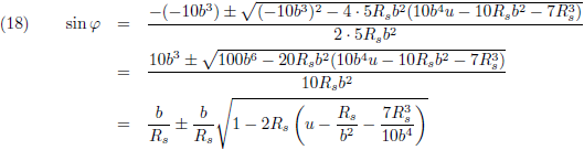
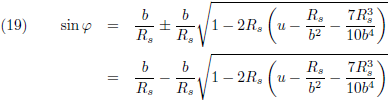
Met behulp van de
abc-formule
vind ik een oplossing voor sin φ:
De eerste orde oplossing leerde mij dat ik het minteken moet gebruiken:
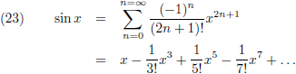
Ik ga de wortel ontwikkelen in een reeks.
In de tabel met Taylor-reeksen vinden we:
Dit vul ik in in vergelijking (19), waarbij ik de eerste drie termen meeneem (want ik zoek een
tweede orde benadering):
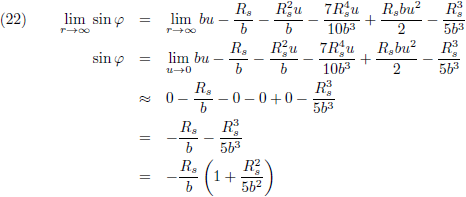
Hiervan neem ik de limiet voor r gaat naar oneindig:
Ik ga de
sinus ook ontwikkelen in een reeks.
In de
tabel met Taylor-reeksen vinden we:
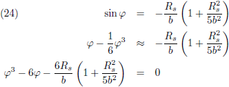
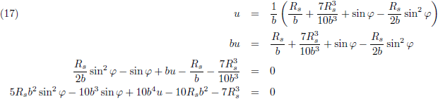
Hiermee wordt vergelijking 22 (waarbij ik alleen de eerste twee termen van de reeks meeneem):
Nu heb ik een
derdegraads vergelijking die mij
alleen maar verder van mijn einddoel afbrengt, want ik moet de nulpunten gaan opzoeken en daarin
verschijnen opnieuw
sinussen
(en
boogsinussen).
Zo zien die nulpunten eruit:
Ik ga op een andere manier verder.
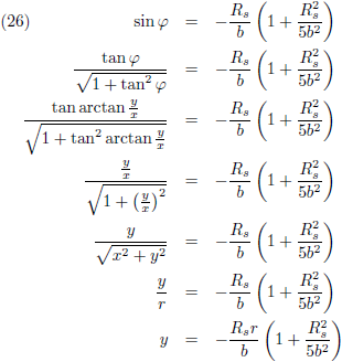
Zoals vergelijking (6a) al aangaf is φ de
boogtangens van y/x:
En vergelijking (7) liet zien dat ik de
sinus kan schrijven als
functie van de tangens:
Via deze weg wordt vergelijking (22):
Dit was het eerste orde resultaat:
Op deze manier wordt in één klap duidelijk wat de tweede orde bijdrage is.
Afgezien van het teken, en voortbordurend op het eerste orde resultaat, is dit de afbuigingshoek in een
tweede orde benadering:
Zoals ik al aangaf worden relativistische correcties pas significant in extreme situaties
zoals bij neutronensterren en
zwarte gaten.
Deze tweede orde berekening is een leuke exercitie, maar heeft geen enkel praktisch nut, want bij
‘gewone’ hemellichamen is bovenstaande tweede orde bijdrage totaal onbeduidend en onmeetbaar terwijl
het daarentegen bij neutronensterren en
zwarte gaten totaal ontoereikend is
(dan heb je juist veel meer termen nodig, iets wat in de buurt komt van een exacte oplossing).
Maar, zoals gezegd, dit was wel een leuke rekenexercitie.

Alleen bij hevige gravitatiegebeurtenissen
voldoet een eerste orde benadering niet meer