De Schwarzschild-metriek in isotrope coördinaten

Schrijf de Schwarzschild-metriek om van bolcoördinaten naar isotrope coördinaten.

Schwarzschild

De Schwarzschild-metriek is de metrische tensor die hoort bij de Schwarzschild-oplossing:

Het interval ziet er dan als volgt uit:

Pythagoras

Een ruimtelijk afstandje ziet er in Cartesische coördinaten op deze manier uit, dat is simpelweg de Stelling van Pythagoras:

En in bolcoördinaten ziet een ruimtelijk afstandje er zo uit:
Het liefst willen we het interval dan ook in de volgende vorm schrijven, waarbij het soort coördinaten op een bepaalde manier verstopt zit in dσ:
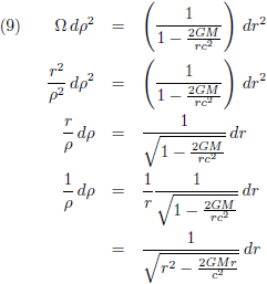
Wanneer ik de bovenstaande vergelijkingen overzie dan kom ik al snel tot de conclusie dat Ω gelijk aan één moet zijn en ben ik weer terug bij af (terwijl ik nog maar net uit de startblokken ben). Kortom, ik heb een extra vrijheidsgraad nodig. Daarom introduceer ik een nieuwe radiële coördinaat ρ die een functie is van de oude radiële coördinaat r: ρ (r). Wanneer ik σ uitschrijf in de oude radiële coördinaat r (vergelijking (4)) dan geldt Ω = 1, maar wanneer ik σ uitschrijf in de nieuwe radiële coördinaat ρ dan ontstaat er speelruimte:
Door de vergelijkingen (2) en (6) met elkaar te vergelijkingen kom ik tot de conclusie dat altijd moet gelden:

Indien de vergelijkingen (7) op enig moment niet gelden dan ligt uiteraard het interval in duigen. Uit vergelijking (7b) volgt:
Hiermee wordt vergelijking (7a):
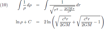
Ik ga beide zijden integreren, de oplossing van de integraal in het linkerlid zoek ik op in de tabel met integralen en de oplossing van de integraal in het rechterlid zoek ik ook op in de tabel met integralen:
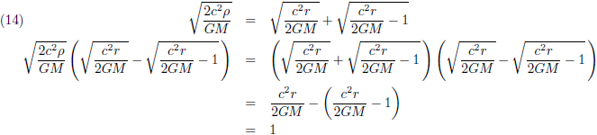
Wat ga ik doen met de integratieconstante C? Het is wel fijn indien voor grote waarden van r en ρ, daar waar de ruimte vlak is, beide coördinaten naadloos in elkaar overgaan:
Hieruit volgt voor C:
Aldus wordt vergelijking (10):
Om dit op te lossen (want ik wil r weten als functie van ρ) doe ik eerst even het volgende tussenstapje:
Oftewel:
Vervolgens tel ik de vergelijkingen (13) en (15) bij elkaar op:
Hiermee wordt vergelijking (8):
En met behulp van vergelijking (16) ga ik g00 omschrijven:
De vergelijkingen (17) en (18) substitueer ik tenslotte in vergelijking (5) om tot het eindantwoord te komen:
Voor de overzichtelijkheid kan ik eventueel nog stellen:
Zo krijgt vergelijking (19) deze compacte vorm:
Ik stel:
Dat brengt ons bij dit overzicht:
De Schwarzschild-oplossing
In bolcoördinaten
Toon afleiding
In Eddington-Finkelstein-coördinaten
Toon afleiding
In isotrope coördinaten