De integraal van
f (x) = 1/x
Trefwoorden/keywords: integraal/integral, integreren/integrate, f (x) = 1/x

De grafiek van f (x) = 1/x
De
tabel met afgeleiden
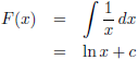
leidt ons rechtstreeks naar de oplossing van deze
integraal:
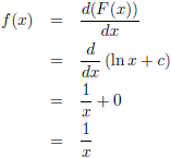
Ter controle ga ik het resultaat
differentiëren:
Nu moet er nog wel iets gebeuren want de
logaritme van een negatief getal kan niet.
De oplossing is simpel, ik neem de
absolute waarde:

De grafiek van F (x), c = 0