De integralen van
f (x) = 1/(a2 ± x2)n
Trefwoorden/keywords: integraal/integral, integreren/integrate, f (x) = 1/(a2 ± x2)n

De grafiek van f (x) = 1/(a2 + x2)n voor n = 1 (de rode lijn),
n = 2 (de groene lijn) en n = 3 (de blauwe lijn),
en de grafiek van f (x) = 1/(a2 − x2)n voor n = 1 (de oranje lijn),
n = 2 (de paarse lijn) en n = 3 (de grijze lijn), a = 1
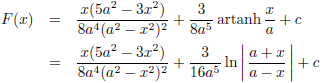
Integrand![]() |
Primitieve | ||
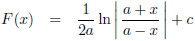
![]() |
![]() ![]() |
![]() ![]() |
Toon uitwerking |
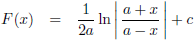
![]() ![]() |
![]() ![]() |
Toon uitwerking | |
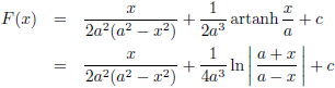
![]() ![]() |
![]() ![]() |
Toon uitwerking | |
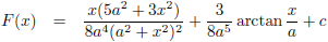
![]() ![]() |
![]() ![]() |
Toon uitwerking | |
![]() ![]() |
![]() ![]() |
Toon uitwerking | |
![]() |
![]() ![]() |
![]() ![]() |
Toon uitwerking |
![]() ![]() |
![]() ![]() |
Toon uitwerking | |
![]() |
![]() ![]() |
![]() ![]() |
Toon uitwerking |
![]() ![]() |
![]() ![]() |
Toon uitwerking | |








































Naar de volgende tabel: de integralen van
Naar de vorige tabel: de integralen van
Tabel met integralen
Differentiëren
Integreren
De integraal van
De integraal van
De integraal van
De integraal van
De integraal van
De integralen van
De integralen van
Vectoren, vraagstuk 24
Vectoren, vraagstuk 69
Uitschrijven van de sommatieconventie
De Taylor-reeks van
Tabellen met Taylor-reeksen
Lijnen trekken door negen punten
De gammafunctie
Holomorfie van de functie
Relativiteitstheorie rekenkundig, hoofdstuk 2: de lichtsnelheid
De snelheid van een meertrapsraket
Optellen van snelheden zonder invariantie van de lichtsnelheid
De tweelingparadox
De integraal van
De Witte Dag
De integraal van
De cycloïde
De minimale straal van een holle bol
Een planeettijdreismachine
De integralen van
Gravitationele rood-/blauwverschuiving
Getijdenkrachten
Zijn wij vroeg of laat?
Overzichtspagina wiskunde
Overzichtspagina natuurkunde
Overzichtspagina filosofie
Doneer enkele euro’s
Wetenschappelijke boeken te koop
Lezingen