De integraal van
f (x) = 1/(a2 − x2)
Trefwoorden/keywords: integraal/integral, integreren/integrate, f (x) = 1/(a2 − x2)

De grafiek van f (x) = 1/(a
2 − x
2) voor a = 1 (de rode lijn),
a = 2 (de groene lijn) en a = 3 (de blauwe lijn)
Hoe kan dat nou dat er twee dezelfde functies in de
tabel met integralen
staan die twee zulke verschillende
primitieve functies hebben?
Dat zal ik uitleggen.
Dit is de
cotangens hyperbolicus:
De
area cotangens hyperbolicus
is de inverse functie hiervan, dus x en y wisselen van plaats:
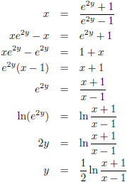
Ik ga de inverse functie omschrijven zodat y weer geschreven wordt als functie van x:
Het resultaat van het omschrijven wordt dus:
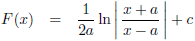
Daarom is ook dit een oplossing:
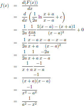
Ter controle ga ik het resultaat
differentiëren:
Nu moet er nog wel iets gebeuren want de
logaritme van een negatief getal kan niet.
De oplossing is simpel, ik neem de
absolute waarde:
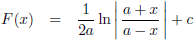
Hetgeen overeenkomt met:

De grafiek van F (x) voor a = 1 (de rode lijn),
a = 2 (de groene lijn) en a = 3 (de blauwe lijn), c = 0