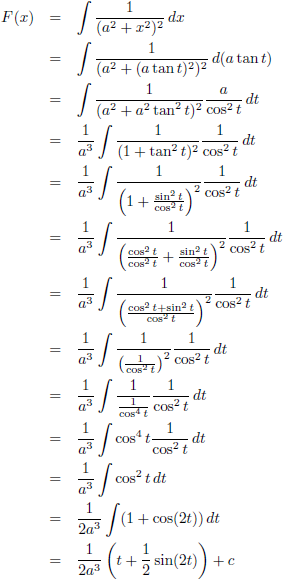
De integraal van
f (x) = 1/(a2 + x2)2
Trefwoorden/keywords: integraal/integral, integreren/integrate, f (x) = 1/(a2 + x2)2

De grafiek van f (x) = 1/(a2 + x2)2 voor a = 1 (de rode lijn),
a = 2 (de groene lijn) en a = 3 (de blauwe lijn)



De grafiek van F (x) voor a = 1 (de rode lijn),
a = 2 (de groene lijn) en a = 3 (de blauwe lijn), c = 0
Naar de volgende integraal: de integraal van
Naar de vorige integraal: de integraal van
Tabel met integralen
Tabel met afgeleiden
Tabel met Taylor-reeksen
Differentiëren
Integreren
De integralen van
Goniometrische substitutie door tangens of cotangens
De afgeleide van
Goniometrie in het platte vlak
Goniometrische functies in elkaar omschrijven
Uitleg artikel algemene relativiteitstheorie: paragraaf 15
De illusie dat ik geen keus heb
De integraal van
De integraal van
De integraal van
De integraal van
De integralen van
De integralen van
Vectoren, vraagstuk 2
Vectoren, vraagstuk 47
Vectoren, vraagstuk 92
Gravitationele rood-/blauwverschuiving
Getijdenkrachten
Zijn wij vroeg of laat?
De Einstein-Rosen-brug
De invaltijd van een baksteen die in een zwart gat valt
De buitenkant van een wormgat
De integraal van
De astroïde
Het waarneembare universum
Wat is een wormgat?
Overzichtspagina wiskunde
Overzichtspagina natuurkunde
Overzichtspagina filosofie
Doneer enkele euro’s
Wetenschappelijke boeken te koop
Lezingen