De integraal van
f (x) = xn e−ax2
(n = even)
Trefwoorden/keywords: integraal/integral, integreren/integrate, f (x) = xn e−ax2 (n = even)

De grafiek van f (x) = x
n e
−ax2 voor n = 0 (de rode lijn),
n = 2 (de groene lijn) en n = 4 (de blauwe lijn), a = 1
Voor het
integreren
van deze functie ga ik gebruik maken van
partieel integreren:
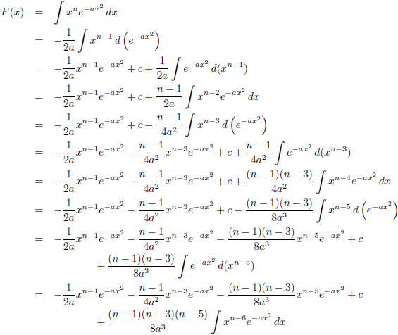
De
integraal wordt dan:
Dit blijven we herhalen totdat die
macht van x
(binnen de
integraal) verdwenen
is en dan zijn we bij de uitgang.
Voor de oplossing daarvan wenden we ons tot
reeksontwikkeling.
In de
tabel met integralen vind ik:
Wat is dan de regelmaat?
De oplossing van de
integraal
van e
−ax2 zoek ik op in de
tabel met integralen.
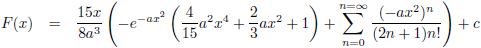
De oplossing van de
integraal
van x
2 e
−ax2 zoek ik op in de
tabel met integralen.
De oplossing van de
integraal
van x
4 e
−ax2 zoek ik op in de
tabel met integralen.
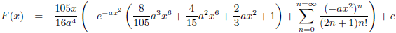
De oplossing van de
integraal
van x
6 e
−ax2 zoek ik op in de
tabel met integralen.
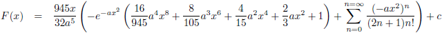
De oplossing van de
integraal
van x
8 e
−ax2 zoek ik op in de
tabel met integralen.
De oplossing van de
integraal
van x
10 e
−ax2 zoek ik op in de
tabel met integralen.
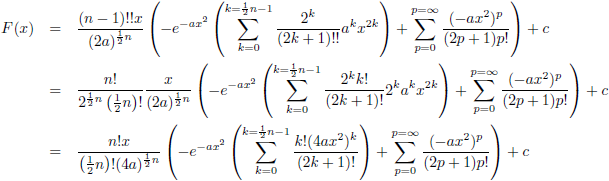
De regelmaat hierin is:
Ik ga die
dubbele faculteiten omschrijven
naar een enkele
faculteit:
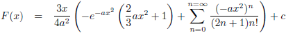
Dat brengt ons bij dit eindresultaat:

De grafiek van F (x) voor n = 0 (de rode lijn),
n = 2 (de groene lijn) en n = 4 (de blauwe lijn), a = 1, c = 0,
100 termen meegenomen