Vectoren, vraagstuk 11

De vectoren
a en
b en de hoek ε die ze insluiten
De vectoren
a en
b kun je ook schrijven als:
De norm van
a respectievelijk
b is:
Het zijn dus allebei eenheidsvectoren.
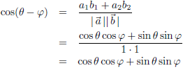
En (θ − φ) is de hoek tussen de vectoren dus volgens het
inwendig product geldt:
En er geldt ook:
Dit stellen we aan elkaar gelijk en we verbouwen het een beetje:
Tenslotte hoeven we alleen nog maar in te vullen wat we al weten: