Vectoren, vraagstuk 64
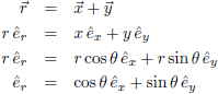
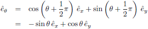
Schrijf de locale ‘polaire’ eenheidsvectoren er en eθ in
Cartesische coördinaten.
Het antwoord moet uiteraard afhankelijk zijn van de plaats (r, θ) waar de locale coördinaten
zijn getekend, dus van de vorm:
En voor eθ iets dergelijks:

Cartesische eenheidsvectoren ex en ey, en polaire eenheidsvectoren er en eθ
Door naar het volgende vraagstuk: vectoren, vraagstuk 65
Terug naar het vorige vraagstuk: vectoren, vraagstuk 63
Overzichtspagina met vraagstukken
Vraagstukken xref voor de UT
De integraal van
De integraal van
De integraal van
De integraal van
De integralen van
De integralen van
Vectoren
Vectoren, vraagstuk 36
Vectoren, vraagstuk 81
Hoe vormt zich de Ricci-scalar?
De Taylor-reeks van
De Taylor-reeksen van
De stelling van Green
Holomorfie van de functie
Integreren van complexe functies
Uitleg artikel algemene relativiteitstheorie: paragraaf 8
De transformatievergelijking voor de energie van EM-golven
De naam van een zwart gat
Seculaire verstoringen
Oplossing voor de wet van Poisson
Gravitationele rood-/blauwverschuiving
Getijdenkrachten
Zijn wij vroeg of laat?
De Einstein-Rosen-brug
De invaltijd van een baksteen die in een zwart gat valt
De buitenkant van een wormgat
De integraal van
De astroïde
Het waarneembare universum
Wat is een wormgat?
Overzichtspagina wiskunde
Overzichtspagina natuurkunde
Overzichtspagina filosofie
Doneer enkele euro’s
Wetenschappelijke boeken te koop
Lezingen