Vectoren, vraagstuk 90
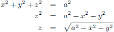
S is het oppervlak van een halve bol (z ≥ 0) met straal a.
Geef een parametrisering van S:
- In Cartesische coördinaten.
- In bolcoördinaten.
- In cilindercoördinaten.

De grafiek van x2 + y2 + z2 = a2 (het vlak S) voor a = 1
-
In Cartesische coördinaten.
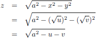
In Cartesische coördinaten is de parametrisering van ‘iets’ in zijn algemeenheid:In dit vraagstuk is dat ‘iets’ een halve bol en voor een bol met straal a geldt:
Een parametrisering voor de bol zou dan kunnen zijn:
In dit geval (maar dat hoeft niet altijd zo te zijn) kunnen we z als functie van x en y schrijven:
Waardoor de parametrisering wordt:
Dat kan ik ook schrijven als:
Of ik introduceer twee nieuwe parameters door te stellen:
Dit kan ook:

En uiteraard dit:


De mogelijkheden zijn eindeloos (maar lang niet allemaal even aantrekkelijk om mee verder te werken).


-
In bolcoördinaten.
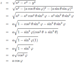
In bolcoördinaten is de parametrisering van ‘iets’ in zijn algemeenheid:In dit vraagstuk is dat ‘iets’ een halve bol en voor een bol met straal a geldt:
Een parametrisering voor de bol zou dan kunnen zijn:
Ook hier zijn uiteraard weer vele varianten te bedenken maar simpeler zal het daar niet van worden.
-
In cilindercoördinaten.
In cilindercoördinaten is de parametrisering van ‘iets’ in zijn algemeenheid:In dit vraagstuk is dat ‘iets’ een halve bol en voor een bol met straal a geldt:
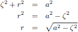
We kunnen ζ schrijven als functie van r:
Een parametrisering voor de bol zou dan kunnen zijn:
Of we kunnen r schrijven als functie van ζ:
Dan wordt de parametrisering:
Door naar het volgende vraagstuk: vectoren, vraagstuk 91
Terug naar het vorige vraagstuk: vectoren, vraagstuk 89
Overzichtspagina met vraagstukken
Vraagstukken xref voor de UT
De integraal van
De integraal van
De integraal van
De integraal van
De integralen van
De integralen van
Combinaties en manipulaties met nabla
Vectoren, vraagstuk 44
Taylor-reeksen
De Taylor-reeks van
De convergentie van een reeks
Matrices
Holomorfie van de functie
Integreren van complexe functies
Uitleg artikel algemene relativiteitstheorie: paragraaf 16
Een geodetische lijn rondom een puntmassa
Voorbeelden van E = mc2
Klassieke periheliumprecessie
De energie in een spoel
Gravitationele rood-/blauwverschuiving
Getijdenkrachten
Zijn wij vroeg of laat?
De Einstein-Rosen-brug
De invaltijd van een baksteen die in een zwart gat valt
De buitenkant van een wormgat
De integraal van
De astroïde
Het waarneembare universum
Wat is een wormgat?
Overzichtspagina wiskunde
Overzichtspagina natuurkunde
Overzichtspagina filosofie
Doneer enkele euro’s
Wetenschappelijke boeken te koop
Lezingen