Vectoren, vraagstuk 16
Bepaal een parametervoorstelling van de snijlijn van de vlakken met parametervoorstellingen:

De vlakken
V en
W en hun snijlijn
Om de snijlijn te vinden van deze twee vlakken moeten we de parametervoorstellingen aan elkaar gelijk stellen:
Vervolgens gaan we dit uitschrijven voor de x/y/z-componenten en de onbekenden oplossen:
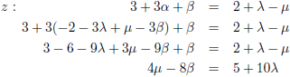
Uit de vergelijking voor x volgt:
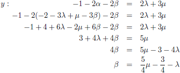
En dit vullen we in in de vergelijkingen voor y en z:
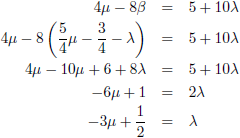
En het resultaat van de vergelijking voor y vullen we in in de vergelijking voor z:
Deze waarde voor λ vullen we tenslotte in in de parametervoorstelling van W en daaruit volgt de
parametervoorstelling van de snijlijn S: