Vectoren, vraagstuk 15
Twee vlakken zijn gegeven door de parametervoorstellingen:


- Laat zien dat V en W evenwijdig zijn.
- Bereken de afstand tussen V en W.

De vlakken V en W
-
Laat zien dat V en W evenwijdig zijn.
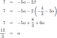
Indien V en W evenwijdig zijn dan zijn de richtingsvectoren afhankelijk van elkaar. Met andere woorden, de richtingsvectoren van het ene vlak zijn te vormen uit de richtingsvectoren van het andere vlak. Er moeten dus een α en β bestaan zodanig dat:Voor de eerste richtingsvector is het vrij simpel in te zien dat dit geldt voor α = −1 en β = 0. Voor de tweede richtingsvector moeten we de vergelijkingen voor x, y en z uitwerken:
Uit de vergelijking voor x volgt:

En dit vullen we in in de vergelijking voor y:
Dit vullen we weer in in de vergelijking voor x:
Deze waarden voor α en β gaan tenslotte in de vergelijking voor z:
Dit klopt als een bus, dus de vlakken lopen inderdaad evenwijdig.
Een andere manier is om van beide vlakken de normaalvector te bepalen en vervolgens te controleren of die normaalvectoren dezelfde richting hebben. De normaalvectoren berekenen we via het uitwendig product:Indien de normaalvectoren dezelfde richting hebben (afgezien van het teken) dan moet nw een veelvoud zijn van nv. Het is eenvoudig in te zien dat deze verhouding 43/3 is, dus ook via deze methode is bevestigd dat V en W evenwijdig lopen.
-
Bereken de afstand tussen V en W.
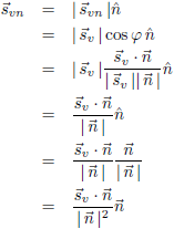
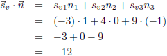
We hebben al de normaalvectoren van beide vlakken en ik werk nu verder met nv die ik voor het gemak door drie deel, het gaat immers om de richting en niet om de grootte. Dus n = (1, 0, −1).
De projectie van de steunvector sv van V op n is svn. Dit is | svn | maal een ‘eenheidsstukje’ van n, dus:We rekenen nu eerst het inwendig product sv ∙ n uit:
En vervolgens | n |2:
Daarmee wordt de projectie:
Voor de projectie van de steunvector van W op n rekenen we nu het inwendig product sw ∙ n uit:
Daarmee wordt de projectie:
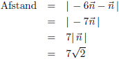
De afstand tussen beide vlakken is de absolute waarde van het verschil van de projecties:
Door naar het volgende vraagstuk: vectoren, vraagstuk 16
Terug naar het vorige vraagstuk: vectoren, vraagstuk 14
Overzichtspagina met vraagstukken
Vraagstukken xref voor de UT
De integraal van
De integraal van
De integraal van
De integraal van
De integraal van
De integralen van
De integralen van
Vectoren, vraagstuk 6
Vectoren, vraagstuk 51
Covariante - en contravariante componenten van een vector
Taylor-reeksen
De Taylor-reeks van
Een reeks afsplitsen van
Het getal e
Holomorfie van de functie
Relativiteitstheorie basic, hoofdstuk 1: snelheden
Uitleg artikel algemene relativiteitstheorie: paragraaf 22
De relativistische rotatie-energie van een holle bol
Het spectrum van een zwart gat
De omtrek van een planeetbaan
Gravitationele rood-/blauwverschuiving
Getijdenkrachten
Zijn wij vroeg of laat?
De Einstein-Rosen-brug
De invaltijd van een baksteen die in een zwart gat valt
De buitenkant van een wormgat
De integraal van
De astroïde
Het waarneembare universum
Wat is een wormgat?
Overzichtspagina wiskunde
Overzichtspagina natuurkunde
Overzichtspagina filosofie
Doneer enkele euro’s
Wetenschappelijke boeken te koop
Lezingen