Vectoren, vraagstuk 14
Gegeven de vectoren:



De lijnen k en m hebben respectievelijk parametervoorstellingen:





- Laat zien dat de twee lijnen elkaar niet snijden.
-
Bepaal parametervoorstellingen van twee onderling evenwijdige vlakken V en W,
zo dat k
V en m
W.
- Bereken de (loodrechte) afstand tussen V en W (dat is de kortste afstand tussen k en m).

De lijnen k en m
-
Laat zien dat de twee lijnen elkaar niet snijden.
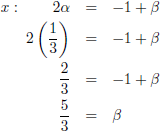
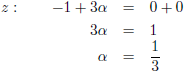
Het snijpunt van de twee lijnen k en m vinden we door ze aan elkaar gelijk te stellen:Door dit uit te schrijven in componenten krijgen we:
De waarde voor α die volgt uit de vergelijking voor z vullen we in in de vergelijkingen voor x en y:

Hier volgen twee verschillende waarden voor β uit, dus er is geen snijpunt.
-
Bepaal parametervoorstellingen van twee onderling evenwijdige vlakken V en W,
zo dat k
V en m
W.
Door de richtingsvector van de ene lijn toe te voegen aan de andere lijn, en vice versa, ontstaan twee vlakken die evenwijdig lopen (want ze hebben dezelfde richtingsvectoren) en die ieder voor zich de lijn k of m bevatten (door γ respectievelijk δ nul te stellen):
-
Bereken de (loodrechte) afstand tussen V en W (dat is de kortste afstand tussen k en m).
Het uitwendig product van de richtingsvectoren p en q is een normaalvector van beide vlakken (want ze lopen evenwijdig):Laten we voor het gemak nemen n = (1, 1, −1), het gaat immers om de richting en niet om de grootte.
De projectie van de steunvector a op n is an. Dit is | an | maal een ‘eenheidsstukje’ van n, dus:We rekenen nu eerst het inwendig product a ∙ n uit:
En vervolgens | n |2:
Daarmee wordt de projectie:
Voor de projectie van de steunvector van b op n rekenen we nu het inwendig product b ∙ n uit:
Daarmee wordt de projectie:
De afstand tussen beide vlakken is de absolute waarde van het verschil van de projecties:
Door naar het volgende vraagstuk: vectoren, vraagstuk 15
Terug naar het vorige vraagstuk: vectoren, vraagstuk 13
Overzichtspagina met vraagstukken
Vraagstukken xref voor de UT
De integraal van
De integraal van
De integraal van
De integraal van
De integralen van
Vectoren, vraagstuk 45
Vectoren, vraagstuk 90
Taylor-reeksen
De Taylor-reeks van
De convergentie van een reeks
Bijzondere figuren
Holomorfie van de functie
Integreren van complexe functies
Uitleg artikel algemene relativiteitstheorie: paragraaf 17
Stabiliteit van cirkelvormige banen om een centrale massa
Afleiding van de Unruh-temperatuur
Het traagheidsmoment van een homogene ronde ster
De energie in een condensator
De illusie van de barracuda
Gravitationele rood-/blauwverschuiving
Getijdenkrachten
Zijn wij vroeg of laat?
De Einstein-Rosen-brug
De invaltijd van een baksteen die in een zwart gat valt
De buitenkant van een wormgat
De integraal van
De astroïde
Het waarneembare universum
Wat is een wormgat?
Overzichtspagina wiskunde
Overzichtspagina natuurkunde
Overzichtspagina filosofie
Doneer enkele euro’s
Wetenschappelijke boeken te koop
Lezingen