Vectoren, vraagstuk 13
Gegeven de vector n:
En deze twee punten:

P1 is het vlak door a en loodrecht op n en P2 is het vlak door het punt b
en evenwijdig aan P1.

- Bepaal de vergelijking van het vlak P1.
- Bereken de (loodrechte) afstand tussen de vlakken P1 en P2.
-
Bepaal de vergelijking van het vlak P1.
Er is gegeven dat a een punt in het vlak P1 is. Een willekeurig ander punt noemen we p. De vector q van a naar p (of van p naar a) ligt in het vlak en staat dus loodrecht op de vector n. Er moet dus gelden:

De grafiek van 3x − 4y + z = −7 (het vlak P1) -
Bereken de (loodrechte) afstand tussen de vlakken P1 en P2.
Voor het vlak P1 nemen we een nog te bepalen vector s als steunvector. De parametervoorstelling van P1 wordt dan:Hierin zijn r1 en r2 de beide richtingsvectoren. Door in de vergelijking voor het vlak P1 x gelijk te stellen aan α en y gelijk aan β vinden we voor z:
Hiermee wordt de parametervoorstelling van P1:
Het vlak P2 loopt evenwijdig aan P1 en we kunnen daarvoor dus dezelfde richtingsvectoren gebruiken. Als steunvector gebruiken we het punt b:
De projectie van de steunvector s1 van P1 op n is s1n. Dit is | s1n | maal een ‘eenheidsstukje’ van n, dus:
We rekenen nu eerst het inwendig product s1 ∙ n uit:
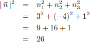
En vervolgens | n |2:
Daarmee wordt de projectie:
Voor de projectie van de steunvector van P2 op n rekenen we nu het inwendig product s2 ∙ n uit:
Daarmee wordt de projectie:
De afstand tussen beide vlakken is de absolute waarde van het verschil van de projecties:
Er is ook een andere manier om dit vraagstuk op te lossen. Hierbij ga ik uit van de volgende lijn L:
Dit is een lijn met steunvector a en richtingsvector n. Het is dus een lijn die loodrecht staat op beide vlakken. Het snijpunt met het vlak P1 is het punt a. Nu willen we nog weten wat het snijpunt is met het vlak P2. Dat punt kunnen we vinden door L en P2 aan elkaar gelijk te stellen:
Dit ga ik in componenten uitschrijven:
Uit de vergelijkingen voor x en y hebben we een α en β gevonden die we in de vergelijking voor z in kunnen vullen:

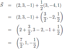
Dit vullen we in in de parametervoorstelling van de lijn L en dan vinden we het snijpunt S:
Door nu de afstand van a tot S uit te rekenen vinden we de afstand tussen de vlakken:
De methode via de projecties lijkt mij handiger en minder werk.

Door naar het volgende vraagstuk: vectoren, vraagstuk 14
Terug naar het vorige vraagstuk: vectoren, vraagstuk 12
Overzichtspagina met vraagstukken
Vraagstukken xref voor de UT
De integraal van
De integraal van
De integraal van
De integraal van
De integralen van
Vectoren, vraagstuk 45
Vectoren, vraagstuk 90
Taylor-reeksen
De Taylor-reeks van
De convergentie van een reeks
Bijzondere figuren
Holomorfie van de functie
Integreren van complexe functies
Uitleg artikel algemene relativiteitstheorie: paragraaf 17
Stabiliteit van cirkelvormige banen om een centrale massa
Afleiding van de Unruh-temperatuur
Het traagheidsmoment van een homogene ronde ster
De energie in een condensator
De illusie van de barracuda
Gravitationele rood-/blauwverschuiving
Getijdenkrachten
Zijn wij vroeg of laat?
De Einstein-Rosen-brug
De invaltijd van een baksteen die in een zwart gat valt
De buitenkant van een wormgat
De integraal van
De astroïde
Het waarneembare universum
Wat is een wormgat?
Overzichtspagina wiskunde
Overzichtspagina natuurkunde
Overzichtspagina filosofie
Doneer enkele euro’s
Wetenschappelijke boeken te koop
Lezingen