Christoffel-symbolen van de tweede soort bij een diagonale metriek

Welke Christoffel-symbolen van de tweede soort worden nul wanneer de metrische tensor diagonaal is? Ga uit van een vierdimensionale ruimte.
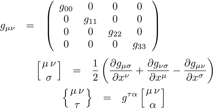
Dit is de metrische tensor:
Dat een tensor diagonaal is wil zeggen dat alle componenten, behalve die op de hoofddiagonaal, nul zijn:

Christoffel

De definitie van de Christoffel-symbolen van de eerste soort is:

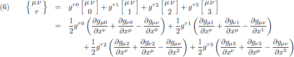
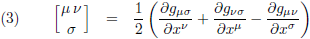
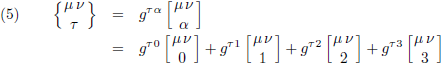
En de definitie van de Christoffel-symbolen van de tweede soort is:
Over de index α moet gesommeerd worden:
Door (3) in te vullen in (4) krijg ik:
Omdat vergelijking (6) zowel covariante componenten als contravariante componenten van de metrische tensor in zich heeft is het belangrijk om op te merken dat indien de covariante versie van de metrische tensor diagonaal is, dat de contravariante versie dat dan ook is (zie deze pagina). Met andere woorden, indien een covariante component nul is dan is de contravariante component dat ook (en vice versa, voor een diagonale tensor):
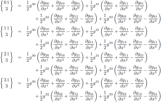
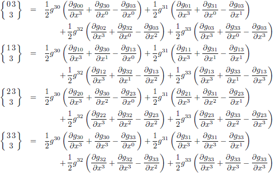
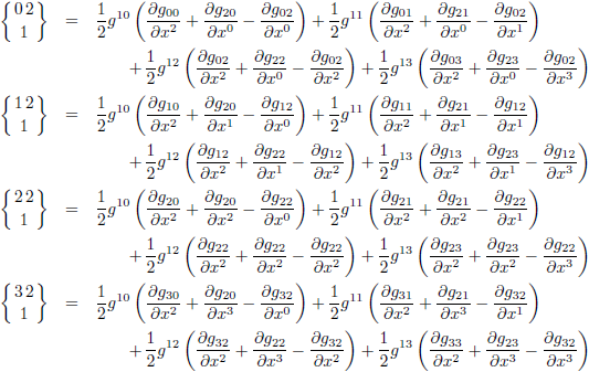
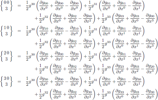
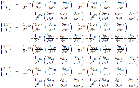
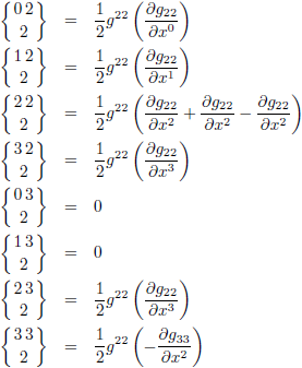
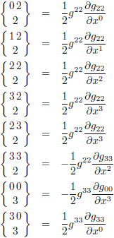
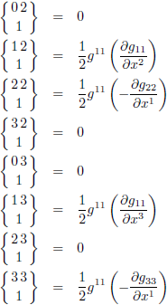
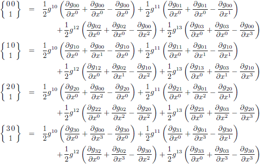
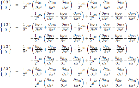
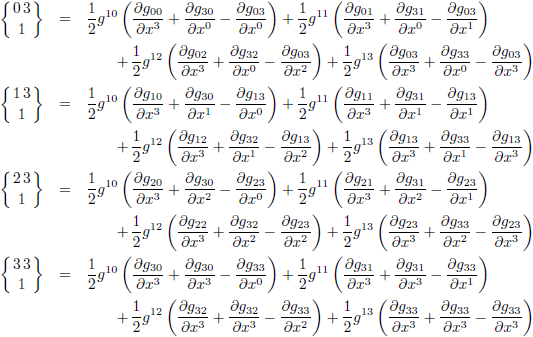
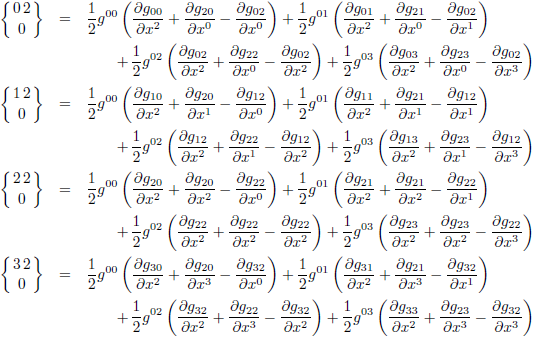
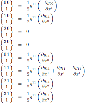
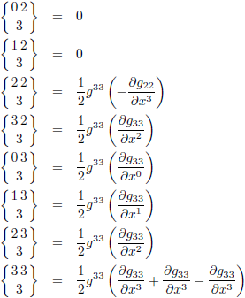
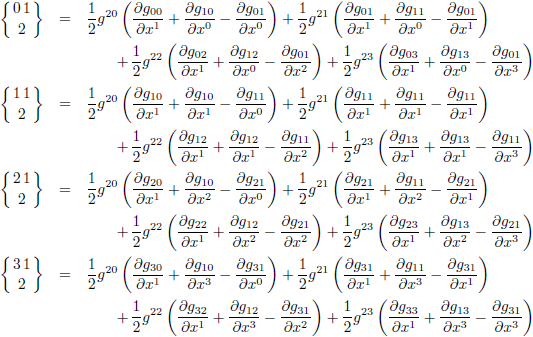
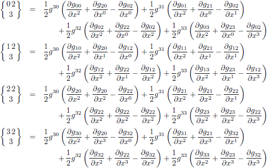
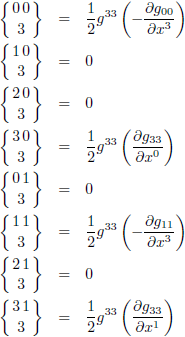
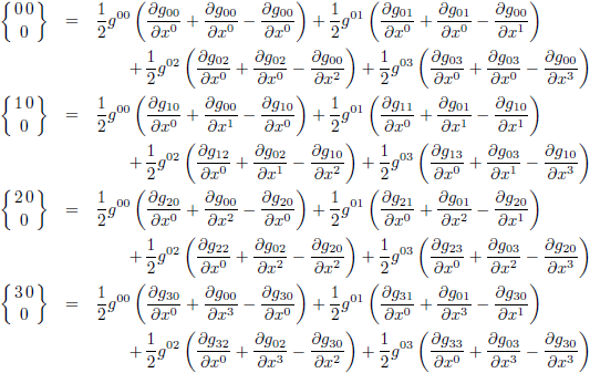
Een Christoffel-symbool heeft drie indices en in een vierdimensionale ruimte bestaan er dus 43 = 64 Christoffel-symbolen. Ik ga ze allemaal uitschrijven:















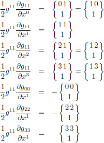
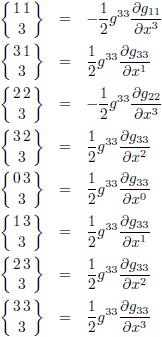
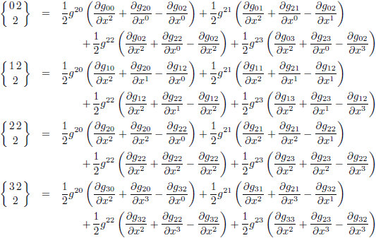
Vervolgens ga ik de componenten uit de metrische tensor van de vergelijkingen (2) en (7) invullen en de nul-termen laat ik gelijk weg:







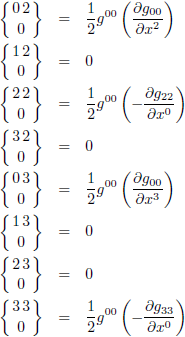
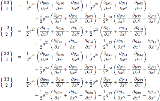
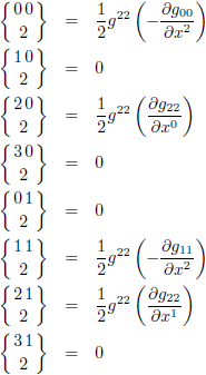
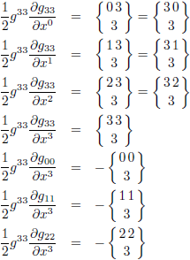
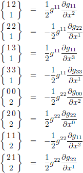
De laatste stap is om termen samen te nemen en haakjes weg te werken. De Christoffel-symbolen die nul zijn laat ik vanaf nu weg uit de lijst:




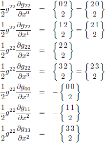
Zo zijn er dus van de 64 oorspronkelijke Christoffel-symbolen nog 40 over. Merk op dat:



Inhoudelijk zijn er in essentie nog maar 28 verschillende Christoffel-symbolen over.