De transformatievergelijkingen voor krachten
Wat zijn de relativistische transformatievergelijkingen voor krachten?

Krachten in evenwicht
Stel, ik heb een systeem P en ten opzichte van iets in dat systeem wordt een kracht F uitgeoefend.
Kracht is impulsverandering per tijdseenheid:
Of uitgeschreven in componenten:
Door alle indices p te veranderen in q krijg ik de vergelijkingen voor diezelfde kracht, maar dan zoals
waargenomen vanuit het systeem Q:
Ik ga de bovenstaande vergelijkingen iets anders opschrijven:
Deze pagina leerde ons de transformatievergelijkingen
voor impuls (waargenomen vanuit een systeem Q dat met een constante snelheid v beweegt ten opzichte van het
systeem P in de richting van x):
Ik wil naar vergelijkingen toe waarin de kracht wordt beschreven zoals waargenomen vanuit het systeem Q, maar
uitgedrukt in de parameters van het systeem P.
Daarom ga ik de vergelijkingen (5) invullen in de vergelijkingen (4):
En deze pagina bracht ons de Lorentz-transformaties:
Van vergelijking (7c) neem ik de
differentiaal:
Vergelijking (8) vul ik in in de vergelijkingen (6):
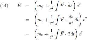
Nu vraagt vergelijking (9a) om nog wat extra bewerking, want daar staat nog een E (energie) waar ik vanaf wil.
Energie en massa zijn twee zijden van dezelfde munt zoals
E = mc2 ons leert:
Massa bestaat uit een rustcomponent, de rustmassa m
0, en een kinetische component:
Die kinetische component is de
kinetische energie
gedeeld door c
2, wederom volgens
E = mc2
(dit lijkt wellicht een cirkelredenering te gaan worden, maar dat is het niet):
En die
kinetische energie is op de een of andere manier
ontstaan door arbeid te investeren (met s zijnde de afgelegde weg):
Hier ga ik een beetje mee knutselen:
Dit resultaat ga ik vervolgens gebruiken in vergelijking (9a):
Kortweg zijn de transformatievergelijkingen voor krachten dus als volgt:
Ik kan er natuurlijk voor kiezen om het systeem P te laten meebewegen met wat zich ook in dat systeem moge bevinden.
In dat geval is u
p,x = u
p,y = u
p,z = 0 en worden de bovenstaande drie
transformatievergelijkingen simpelweg:

Momentaan is de snelheid van de rode druppel
gelijk aan nul (en ook van de druppel daaronder)
Ben ik dan aan het vals spelen, want we hebben het hier over krachten en krachten leiden toch tot versnellingen?
In het geval dat ik systeem P laat meebewegen dan moet systeem P ook versnellen en dan is systeem P niet meer
inertiaal en mag ik de speciale relativiteitstheorie niet meer toepassen.
Helemaal waar, maar tot aan het moment dat er krachten in het spel komen kan en mag ik systeem P probleemloos
laten meebewegen.
In dat infinitesimaal korte moment dat de kracht begint zich te laten gelden is tevens de versnelling
infinitesimaal klein (aan het begin van dat oneindig kleine tijdsinterval zelfs gelijk aan nul).
Aan het einde van dat oneindig kleine tijdsinterval is de snelheid u dus minder dan het product van een
oneindig kleine versnelling en een oneindig klein tijdsinterval (snelheid is versnelling maal tijd).
Oftewel, de momentane snelheid u is dan echt (nog) geen factor van belang.
De aanname u = 0 is volkomen legitiem en daarom zijn de vergelijkingen (16) volkomen valide.
Op deze pagina leid ik op verschillende manieren de
transformatievergelijking af voor versnelling en dat illustreert nog eens extra dat een momentaan meebewegend
inertiaalstelsel niet zomaar iets is om recht te praten wat krom is.