De Taylor-reeks van
f (x) = 1/(1 + (ax)2)1/2
Trefwoorden/keywords: Taylor-reeks/Taylor series, f (x) = 1/(1 + (ax)2)1/2

De grafiek van f (x) = 1/(1 + (ax)
2)
1/2 voor a = 1 (de rode lijn),
a = 2 (de groene lijn) en a = 3 (de blauwe lijn)
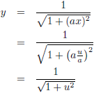
Ik stel:
Zodat de functie deze vorm krijgt:
De reeks van 1/(1 + x
2)
1/2 kun je elders vinden in de
tabel met Taylor-reeksen:
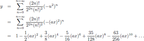
Hiermee kom ik tot dit resultaat:
Nu moet u uiteraard weer vervangen worden door x:
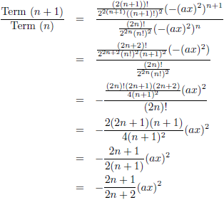
Om te voorkomen dat je tegen de grenzen van je rekenprogramma aanloopt is het wel handig om niet
iedere term opnieuw te berekenen, maar ten opzichte van de voorgaande term:
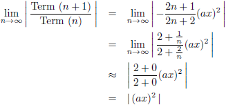
Het is belangrijk om te kijken naar de
convergentie
van deze reeks, want indien de reeks divergeert dan hebben we er niets aan.
De belangrijkste voorwaarde voor
convergentie
is indien de termen uitdoven als het ware, dus als een term voor grote waarden van n kleiner is dan de
voorgaande term (in
absolute waarden
gesproken uiteraard):
Voor deze reeks ziet dat er als volgt uit:
Dit moet kleiner dan één zijn, oftewel | x | < 1/a.

De grafiek van f (x) met daaroverheen de Taylor-reeks voor a = 1 (de oranje lijn),
a = 2 (de paarse lijn) en a = 3 (de grijze lijn),
100 termen meegenomen
Ik zoom nog even in op het convergentiegebied.

De grafiek van f (x) met daaroverheen de Taylor-reeks voor a = 1 (de oranje lijn),
a = 2 (de paarse lijn) en a = 3 (de grijze lijn),
100 termen meegenomen