Vectoren, vraagstuk 21
Bepaal ∂f/∂x en ∂f/∂y in de volgende gevallen:
-

De grafiek van f (x, y) = cos (xy)
-

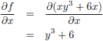
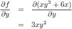
De grafiek van f (x, y) = xy3 + 6x
-

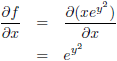
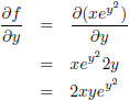
De grafiek van f (x, y) = xey2

Door naar het volgende vraagstuk: vectoren, vraagstuk 22
Terug naar het vorige vraagstuk: vectoren, vraagstuk 20
Overzichtspagina met vraagstukken
Vraagstukken xref voor de UT
De integraal van
De integraal van
De integraal van
De integraal van
De integraal van
De integralen van
De integralen van
Vectoren, vraagstuk 19
Vectoren, vraagstuk 64
De Taylor-reeks van
De Taylor-reeks van
Fourier-analyse
De functie f (x) = ax − xa
Holomorfie van de functie
Relativiteitstheorie basic, hoofdstuk 6: voelen
Uitleg artikel precessie van Mercurius: paragraaf 2
De transformatievergelijkingen voor krachten
Afbuiging van een lichtstraal volgens Einstein
Het traagheidsmoment van twee hemellichamen
De integraal van
De Witte Dag
De integraal van
De cycloïde
De minimale straal van een holle bol
Een planeettijdreismachine
De integralen van
Gravitationele rood-/blauwverschuiving
Getijdenkrachten
Zijn wij vroeg of laat?
Overzichtspagina wiskunde
Overzichtspagina natuurkunde
Overzichtspagina filosofie
Doneer enkele euro’s
Wetenschappelijke boeken te koop
Lezingen