Holomorfie van de functie
f (z) = z2

De grafiek van f (z)

De grafiek van |f (z)|



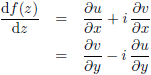
De Cauchy-Riemann-vergelijkingen luiden:


De grafiek van df (z)/dz

De grafiek van |df (z)/dz|





De Cauchy-Riemann-vergelijkingen luiden:




