Vectoren, vraagstuk 82
Gegeven het vectorveld:
Het oppervlak S is de wand (mantel en bodem) van een omgekeerde kegel met de top in de oorsprong waarvan de
bodem een cirkelschijf met straal 4 is op hoogte z = 4.
Bereken de naar buiten gerichte flux van
v door S.

Het vectorveld
v
De (omgekeerde) kegel is een cirkel waarvan de straal toeneemt met z:

De grafiek van z = (x
2 + y
2)
1/2
Dit plaatje is waarschijnlijk duidelijker:

De grafiek van z = (x
2 + y
2)
1/2
De bodem (B) is een cirkelschijf, een verzameling cirkels met maximale straal r = 4 op hoogte z = 4:
Voor een cirkel geldt immers:
Voor zowel de mantel (M) als de cirkelschijf geldt dus voor de straal:
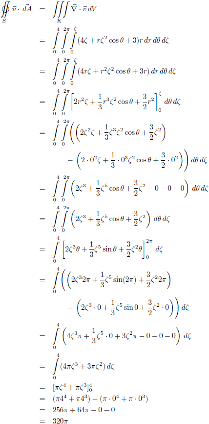
De totale flux door de kegelwand (bodem + mantel) is:
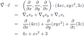
Volgens meneer Gauss geldt ook voor deze kegel de stelling van Gauss:

kennen we als volgt:
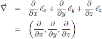
Dan wordt het
inwendig product

∙
v:
Deze kegel, een omwentelingslichaam om de z-as, vraagt gewoon om cilindercoördinaten:
Het omschrijven naar cilindercoördinaten levert dit resultaat op:
In cilindercoördinaten geldt voor een volumestukje dV:
De grenzen van de kegel zijn:
De uitwerking van de
integraal wordt dan: