Vectoren, vraagstuk 49
Gegeven het vlak V door de steunvector p en de richtingsvectoren u en v:




- Bepaal een parametrisering van V.
- Bepaal de eenheidsnormaal op alle punten van V.

Het vlak V met richtingsvectoren u en v en steunvector p
-
Bepaal een parametrisering van V.
Dit is eigenlijk een kwestie van alles wat al gegeven is iets anders opschrijven:
-
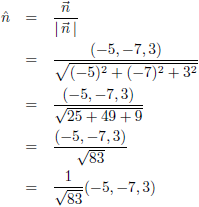
Bepaal de eenheidsnormaal op alle punten van V.
Door het uitwendig product te nemen van de richtingsvectoren krijg ik de normaalvector van het vlak:En vervolgens moet ik daar nog een eenheidsvector van maken:
Door naar het volgende vraagstuk: vectoren, vraagstuk 50
Terug naar het vorige vraagstuk: vectoren, vraagstuk 48
Overzichtspagina met vraagstukken
Vraagstukken xref voor de UT
De integraal van
De integraal van
De integraal van
De integraal van
De integralen van
De integralen van
Vectoren
Vectoren, vraagstuk 37
Vectoren, vraagstuk 82
Taylor-reeksen
De Taylor-reeks van
De Taylor-reeksen van
De stelling van Green
Holomorfie van de functie
Integreren van complexe functies
Uitleg artikel algemene relativiteitstheorie: paragraaf 9
De relativistische bewegingsvergelijkingen
De versnelling van een baksteen die in een zwart gat valt
Fotogallerij
Oplossing voor de elektromagnetische potentialen
Gravitationele rood-/blauwverschuiving
Getijdenkrachten
Zijn wij vroeg of laat?
De Einstein-Rosen-brug
De invaltijd van een baksteen die in een zwart gat valt
De buitenkant van een wormgat
De integraal van
De astroïde
Het waarneembare universum
Wat is een wormgat?
Overzichtspagina wiskunde
Overzichtspagina natuurkunde
Overzichtspagina filosofie
Doneer enkele euro’s
Wetenschappelijke boeken te koop
Lezingen